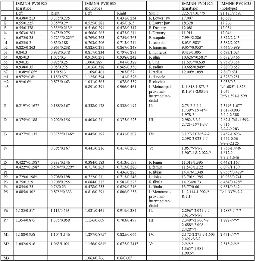
Extended Data Table 1 Measurements (Length/Width in mm)

From: Jurassic shuotheriids show earliest dental diversification of mammaliaforms

  1. These are measurements of teeth and some skeletal elements of the holotype (IMMNH-PV01035) and paratype (IMMNH-PV01925) of Feredocodon chowi. The asterisk indicates estimated measurement.