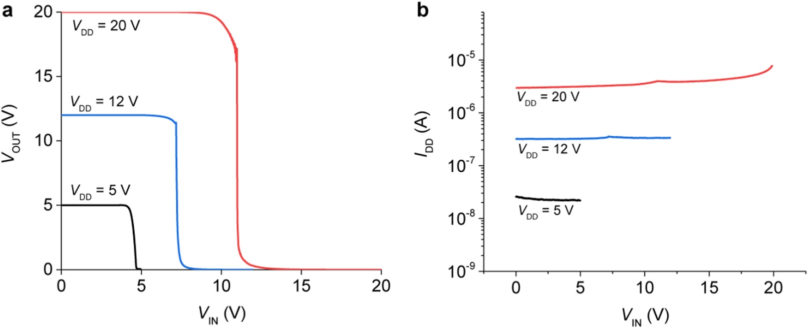
Extended Data Fig. 9: CMOS inverter characterisations.
From: Selenium-alloyed tellurium oxide for amorphous p-channel transistors

a. Voltage transfer curves of one complementary inverter based on n-channel In2O3 and p-channel Se-alloyed Te-TeOx TFTs at different VDD. b. Corresponding circuit leakage current.