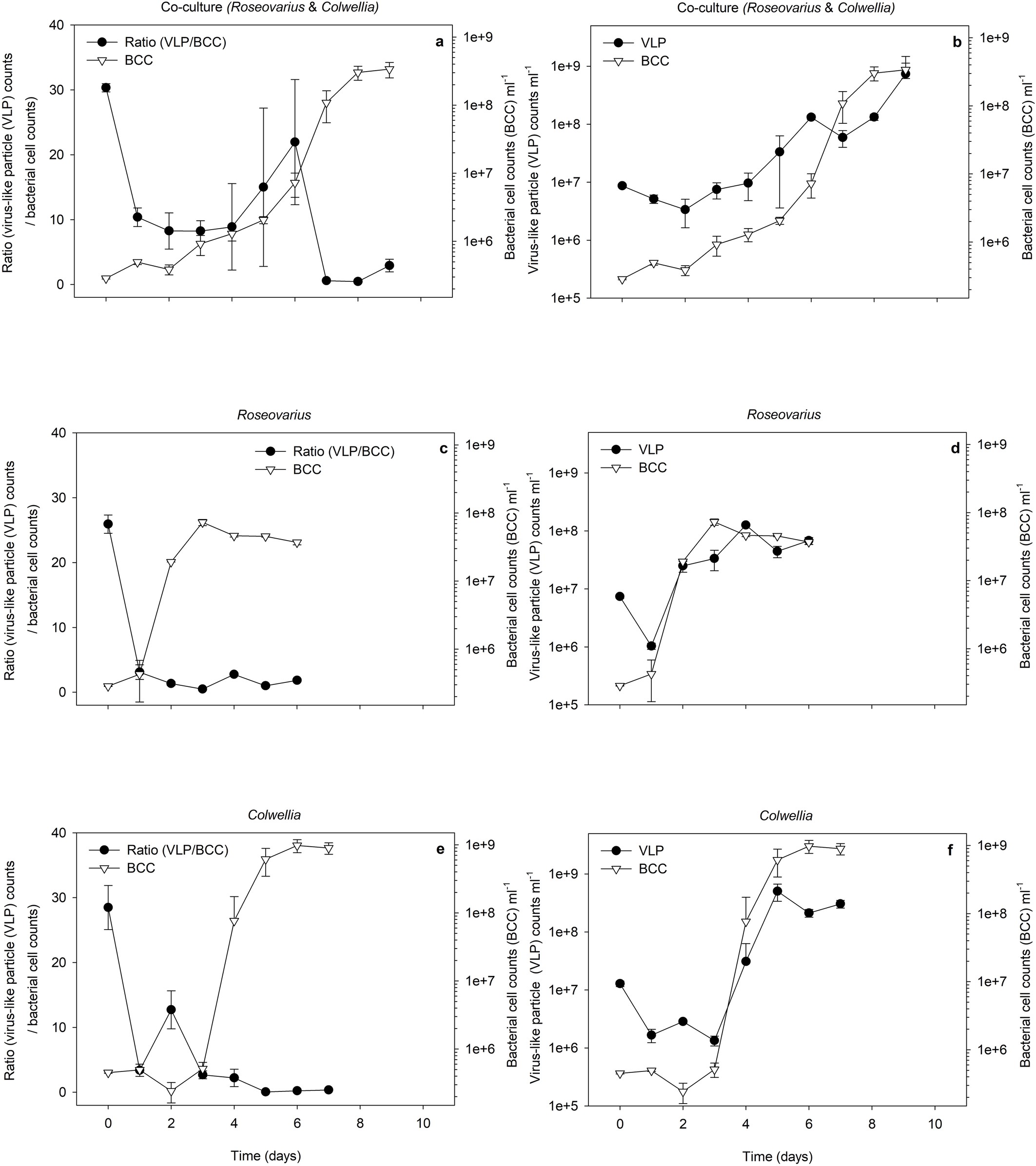
Extended Data Fig. 9: Enumeration of bacterial cells and virus-like particles of Colwellia and Roseovarius grown in co- and mono-culture.
From: Ligand cross-feeding resolves bacterial vitamin B12 auxotrophies

a, Bacterial cell numbers (white triangle) and ratio of virus-like particles to bacterial cell number (black circle) of Colwellia and Roseovarius growing in co-culture, c, Roseovarius and e, Colwellia in mono-culture with B12 supplementation. b, Bacterial cell numbers (white triangle) and virus-like particles (black circle) of Colwellia and Roseovarius growing in co-culture, d, Roseovarius and f, Colwellia in mono-culture with B12 supplementation. Shown are means of triplicates + SD. Each treatment was carried out in n = 3 biological independent samples and growth characteristics were confirmed in independently conducted tests.