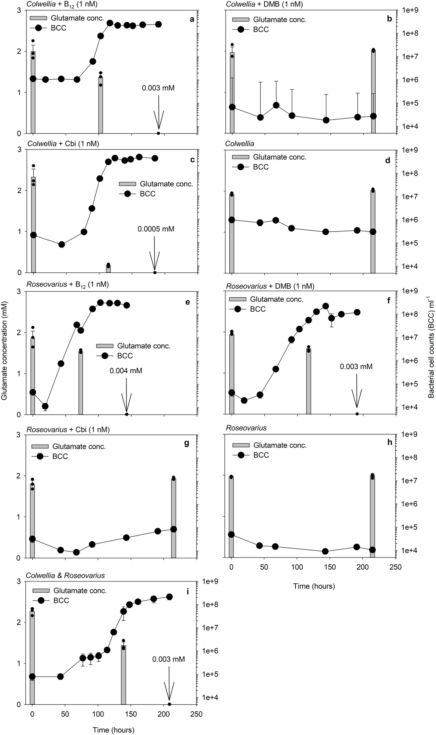
Extended Data Fig. 3: Growth and substrate use of Colwellia and Roseovarius when supplemented with B12 building blocks.
From: Ligand cross-feeding resolves bacterial vitamin B12 auxotrophies

Presented are total bacterial cell numbers assessed by flow cytometry and glutamate (glutamic acid) concentrations of a-d, Colwellia and e-h, Roseovarius supplemented with a, e, B12, b, f, DMB and c, g, Cbi at 1 nM final concentrations each and d, h, without any supplementation and of as well as i, Colwellia + Roseovarius when cultivated in co-culture without any addition. Shown are means of triplicates ± SD. Each condition was carried out in n = 3 biological independent samples and growth characteristics were confirmed in independently conducted experiments.