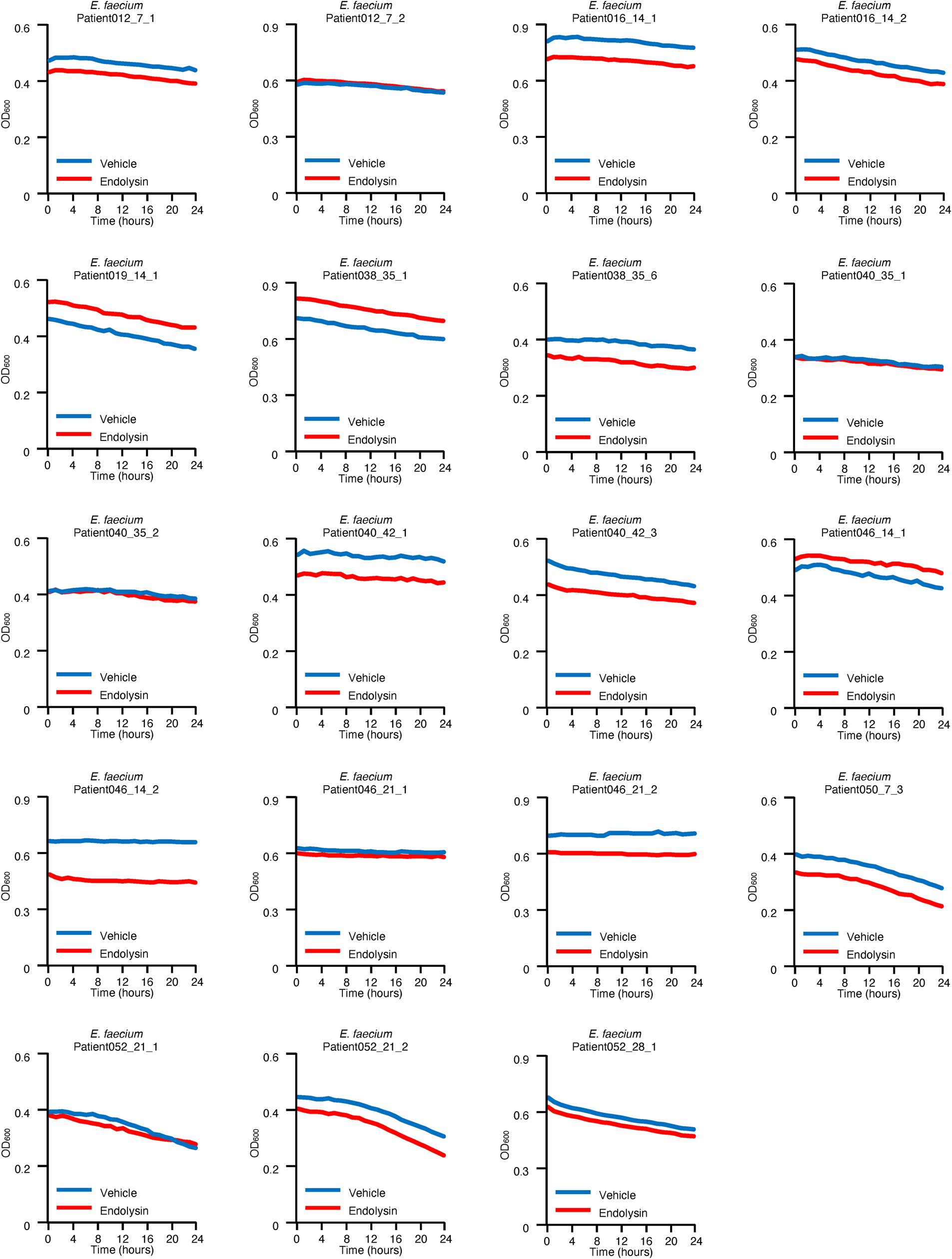
Extended Data Fig. 3: Analysis of the bacteriolytic capacity of endolysins against E. faecium.
From: An enterococcal phage-derived enzyme suppresses graft-versus-host disease

Bacteriolytic capacity of endolysins against E. faecium isolated from the faeces of patients with allo-HCT. A representative experiment from two independent experiments is shown.