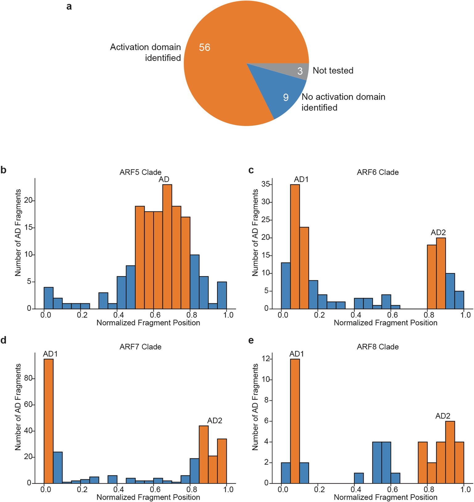
Extended Data Fig. 5: Comparison of PADI hits to previous activators and distribution of hits across the middle regions of clade-A ARF subclades.
From: Identification of plant transcriptional activation domains

a, Hummel et al.11 identified ADs in sixty-eight Arabidopsis TFs that could elicit a transcriptional response when transiently expressed in intact tobacco leaves. We identified fragments that could activate transcription in yeast from fifty-six (82%) of the sixty-eight TFs factors identified by Hummel et al. We did not identify fragments that could elicit yeast-based transcription from nine TFs in which Hummel et al. demonstrated transcriptional activity. An additional three TFs were untested in the PADI dataset. It is possible that for the 9 TFs for which Hummel et al. found activation activity and in which we did not identify a hit in our PADI screen that either 1) they contain ADs that are active in plant cells but not in yeast or 2) the nearly intact TFs used by Hummel et al. recruited other coactivators in their system (for example native TFs that contain an AD). b–e, Orange regions were used to define AD regions for alignment in Extended Data Figs. 7 and 8. b, ARF5 clade. c, ARF6 clade. d, ARF7 clade. e, ARF8 clade.