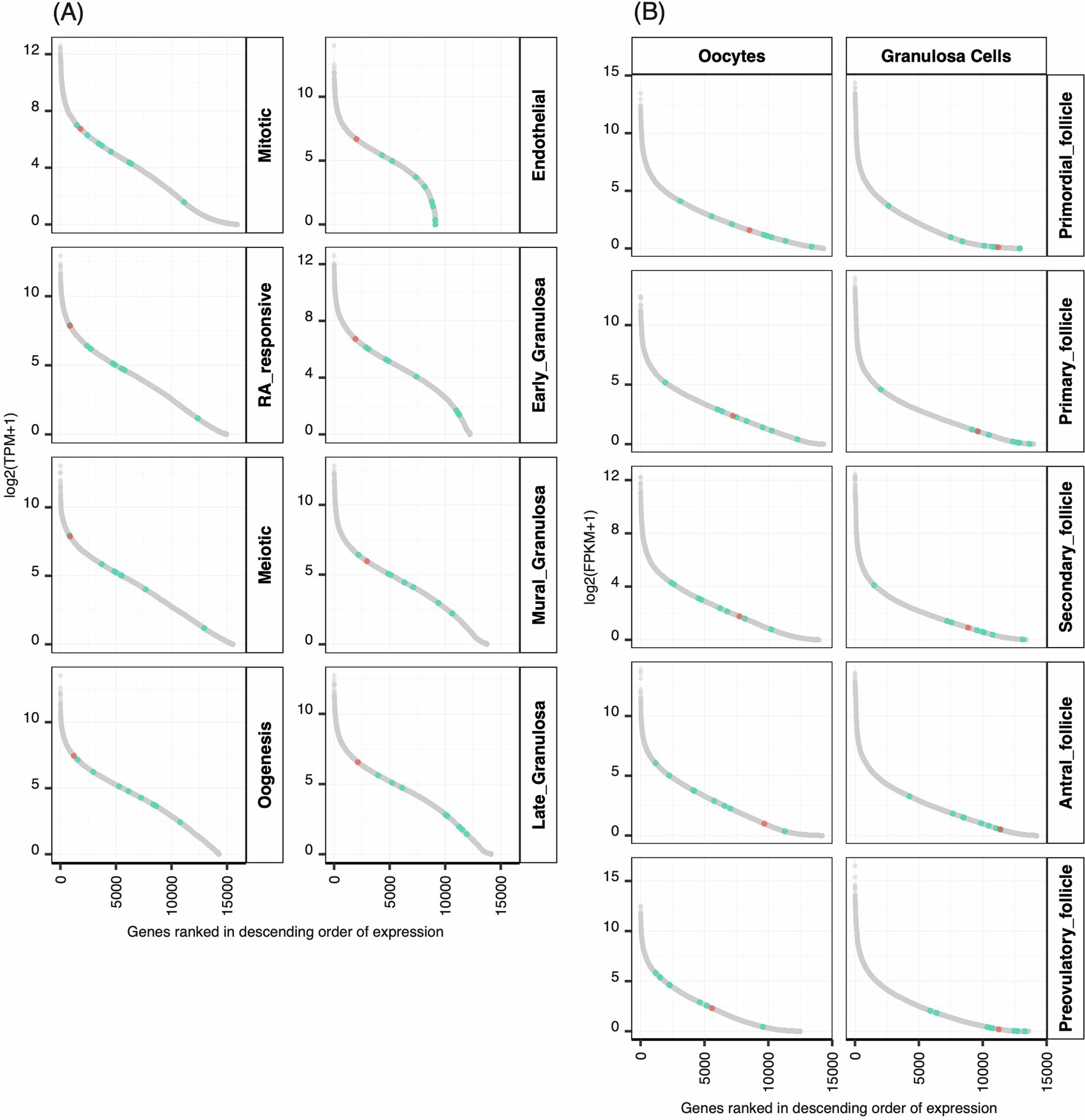
Extended Data Fig. 6: Expression levels of genes across various stages of female germ cell development.
From: Genetic links between ovarian ageing, cancer risk and de novo mutation rates

In the X-axis, genes are ranked according to their average expression at each stage (Y-axis) (A) in human foetal primordial germ cells and (B) in granulosa cells in adult follicles. Genes identified as novel ANM genes in WES analysis are coloured in green and all other genes in the genome are in grey. ZNF518A is depicted in orange for the ease of comparison with other genes (Supplementary Table 17).