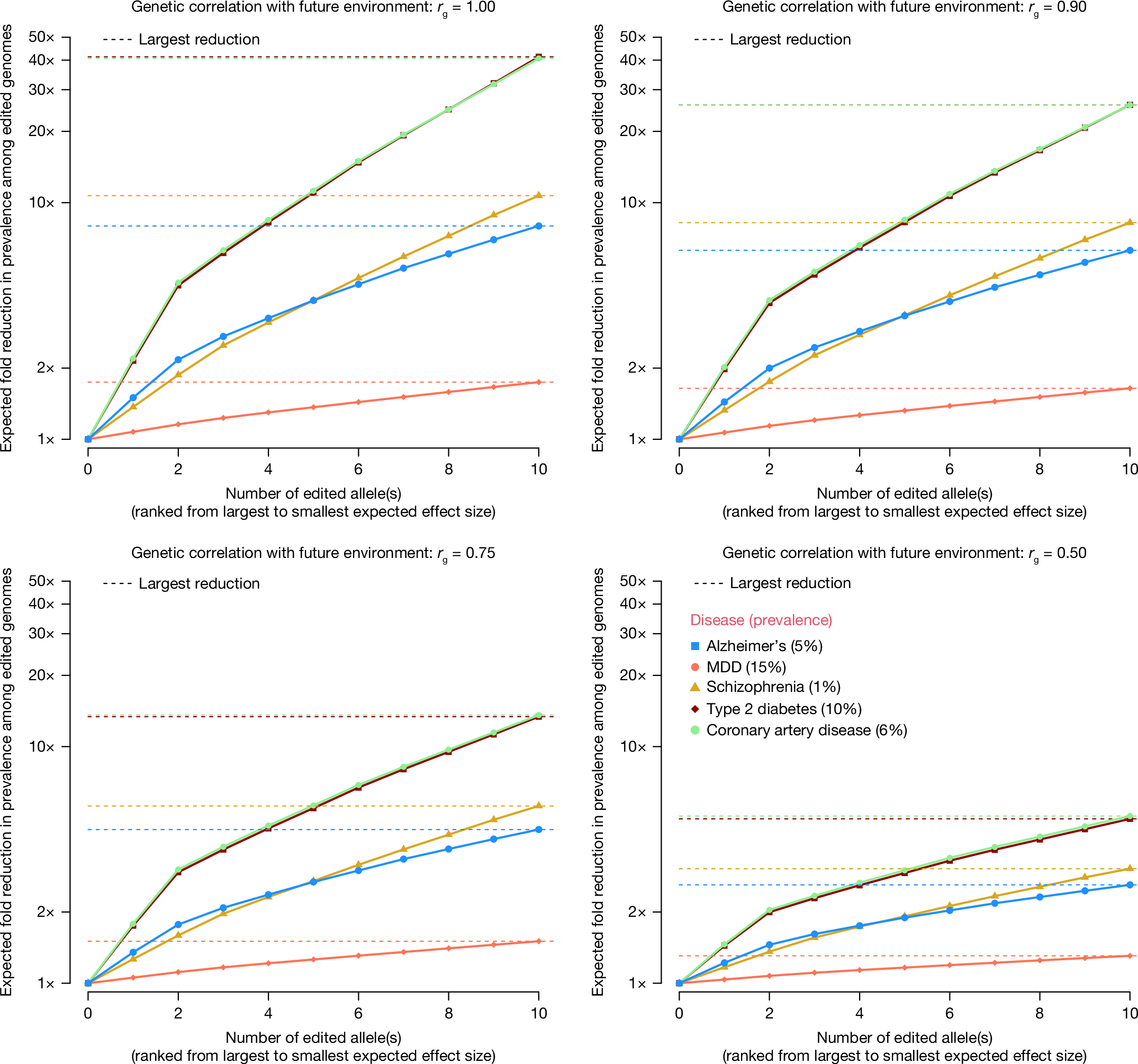
Fig. 2: Predicted change in phenotypic means and disease prevalence among edited genomes in the presence of gene-by-environment interactions.
From: Heritable polygenic editing: the next frontier in genomic medicine?

We modelled G × E by allowing the rg with future environments to be reduced, such that the reduction in disease liability is shrunk by a factor of rg. The source code used to generate the figure is provided in ‘Code availability’.