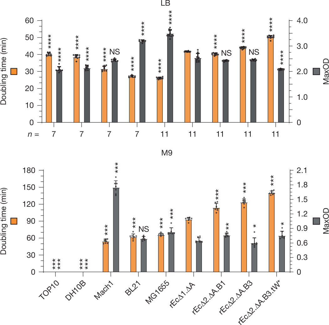
Fig. 5: Growth of recoded strains.
From: Engineering a genomically recoded organism with one stop codon

MaxOD and doubling time of recoded and laboratory E. coli strains grown in nutrient-rich LB (top) and nutrient-poor M9 (bottom) liquid media. Data are mean ± 95% confidence interval for n = 11 (LB) or 7 (M9) biological replicates. P values for comparison with rEc∆2.∆A.B1 by Mann–Whitney U-test.