Extended Data Fig. 1: Whole exome sequencing results.
From: Clonal driver neoantigen loss under EGFR TKI and immune selection pressures

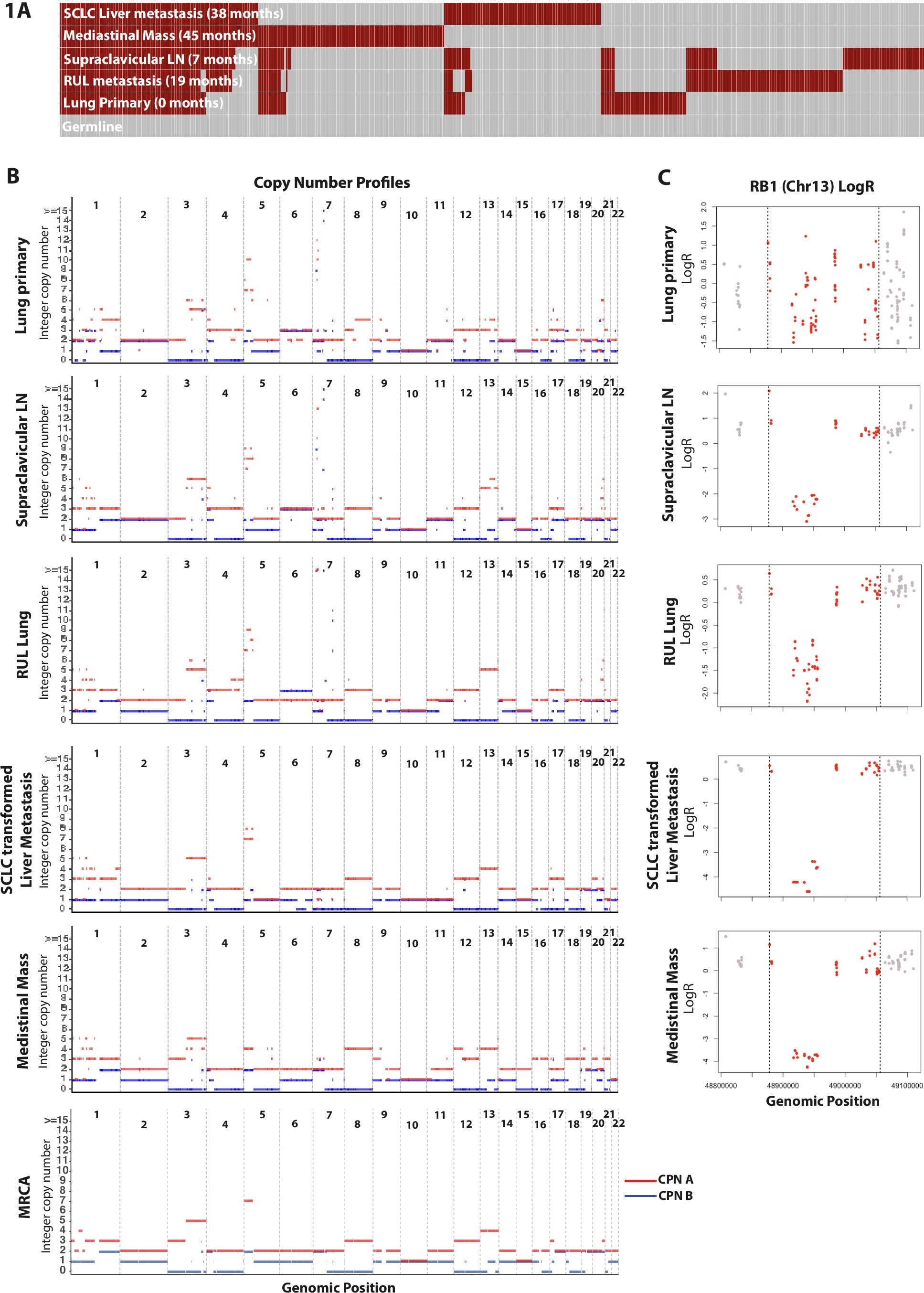
a, Binary heatmap of mutations detected on whole exome sequencing. Each row represents a sample, and each column is a unique somatic mutation. Grey bars indicate absence of a mutation, and dark red indicates the presence of a mutation in that sample. The five samples are all clonally related as indicated by the overlap of detected somatic mutations. b, Phased somatic copy number aberration profiles of the whole exome sequenced samples as well as the most recent common ancestor (MRCA): diagnostic primary lung biopsy (0 months), supraclavicular LN (7 months), RUL metastasis (19 months), SCLC transformed liver metastasis (38 months), mediastinal mass (45 months) and MRCA. c, RB1 LogR across all WES samples. This demonstrates evidence of deep loss of RB1 in the supraclavicular LN, RUL metastasis, SCLC transformed liver metastasis and mediastinal mass. RUL = right upper lobe, LN = lymph node, SCLC = small cell lung cancer.