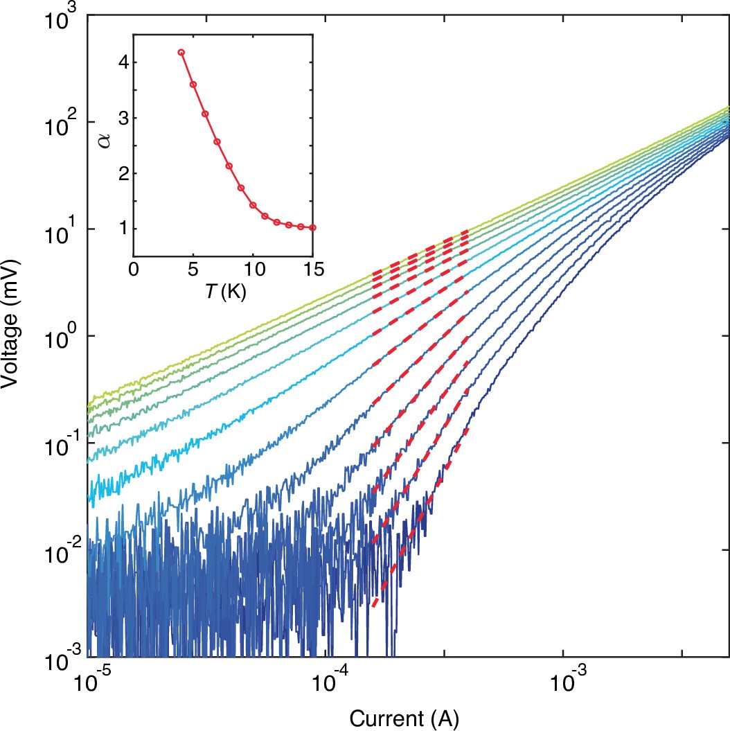
Extended Data Fig. 4: Current-voltage (I-V) characteristics.
From: Ambient-pressure superconductivity onset above 40 K in (La,Pr)3Ni2O7 films

I-V curves from 4 K to 15 K, with 1 K interval. Dashed red lines are linear fits to the log-log I-V curves. Inset: the power law exponent α obtained from the fit as a function of temperature. It is important to note that, due to the significant heating effect caused by the applied current (a result of the high critical current associated with the elevated TC), the actual sample temperatures are higher than the recorded values.