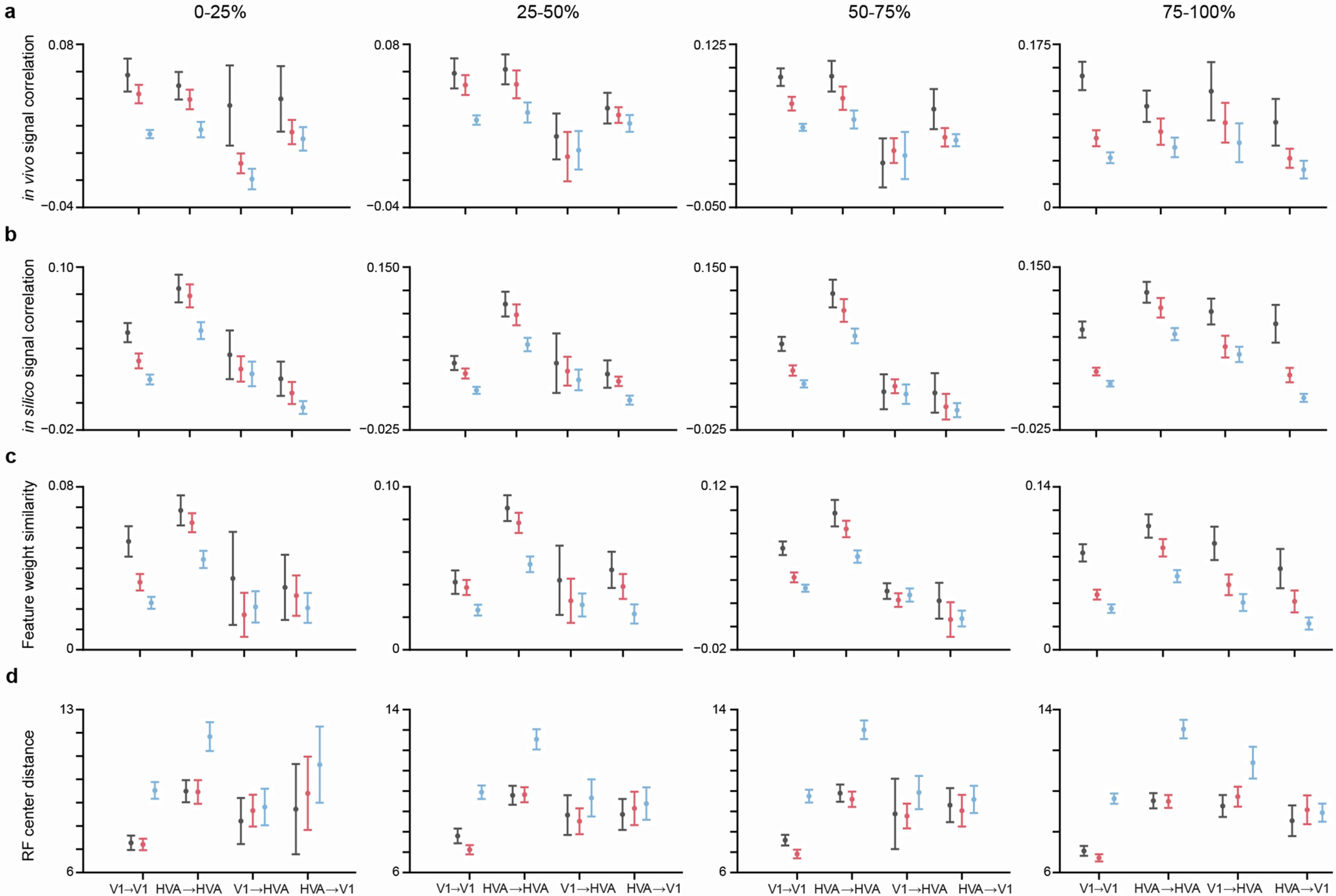
Extended Data Fig. 7: Pairwise functional measurements across varying levels of model predictive performance.
From: Functional connectomics reveals general wiring rule in mouse visual cortex

Mean of in vivo signal correlations (a), in silico signal correlations (b), feature weight similarity (c), and RF center distance (d) for all projection types across 4 quantiles of model predictive performance (CCabs). All panels share a base filtering for visual responsiveness (CCmax > 0.4, 90% of neurons pass this threshold). Presynaptic neurons are filtered to CCabs > 0.2 (4 did not pass this threshold).