Fig. 3: Mass distributions in the R(pπ+π−) resonance phase space.
From: Observation of charge–parity symmetry breaking in baryon decays

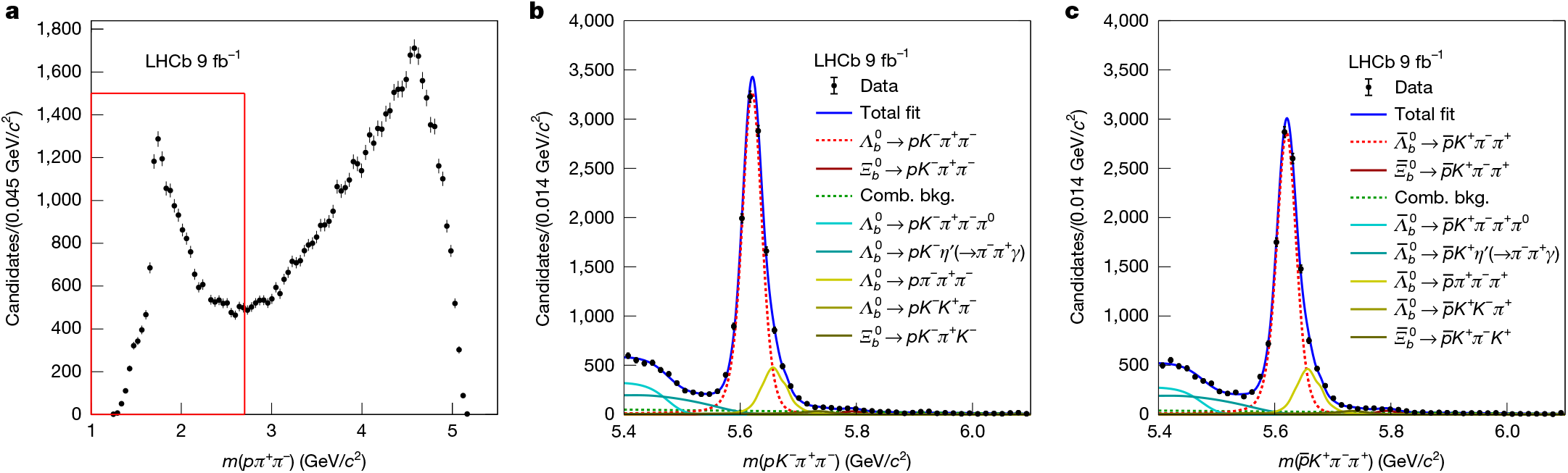
a, Distribution of the pπ+π− mass including both \({\varLambda }_{b}^{0}\) and \({\bar{\varLambda }}_{b}^{0}\) candidates. The low-mass structure corresponds to excited nucleon resonances decaying to the pπ+π− final state, whereas the broad structure at higher masses arises from other decay processes of the \({\varLambda }_{b}^{0}\) baryon. b,c, Mass distributions of candidates within the region delimited by the red box in a are shown for \({\varLambda }_{b}^{0}\to p{K}^{-}{\pi }^{+}{\pi }^{-}\) (b) and \({\bar{\varLambda }}_{b}^{0}\to \overline{p}{K}^{+}{\pi }^{-}{\pi }^{+}\) (c) decays, together with the fitted projections and individual components.