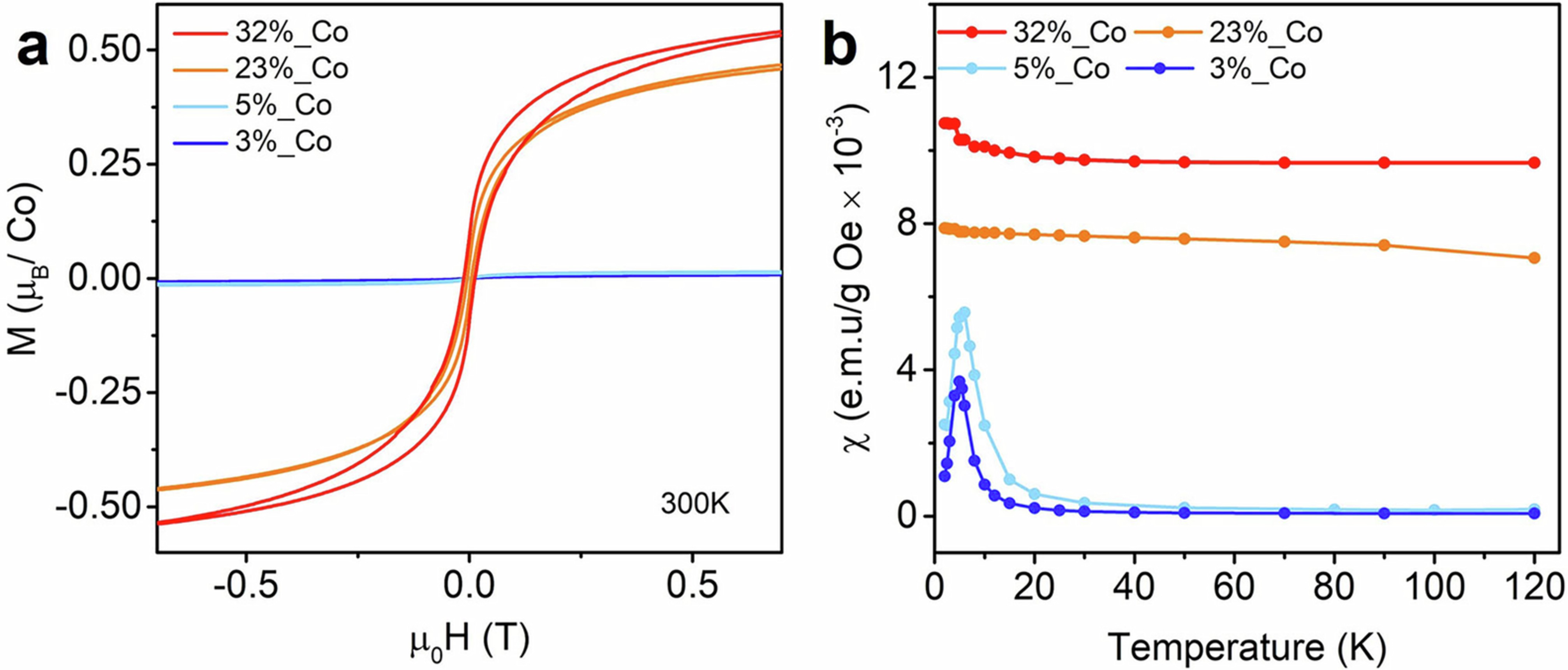
Extended Data Fig. 8: Ferromagnetic and antiferromagnetic characteristics of CoxMoS2 with variable Co concentrations.
From: A cation-exchange approach to tunable magnetic intercalation superlattices

a, Magnetic hysteresis (M-H) curves of CoxMoS2 with different Co concentrations at 300 K. b, Temperature-dependent magnetic susceptibility measurement of CoxMoS2 with various Co concentration. In Co0.03MoS2 and Co0.05MoS2, the sharp turning around 5 K (Neel temperature) manifests an antiferromagnetic ground state of CoxMoS2 with diluted Co concentrations.