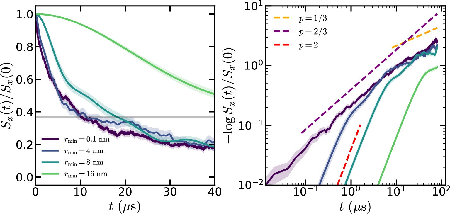
Extended Data Fig. 3: Stretched power as a measure of spatial geometry.
From: Spin squeezing in an ensemble of nitrogen–vacancy centres in diamond

Krylov subspace numerics averaged over 40 realizations of positional disorder for N = 15 spins. Data shows quench dynamics of spins evolving under HXXZ with minimum spin spacing \({r}_{\min }=0.1,4,8,16\,{\rm{nm}}\) on linear (left) and log (right) scales. The shaded area indicates the standard deviation of the positional disorder averaging. The deviation from p = 2/3 at long times can be explained by the crossover from the early-time ballistic regime into the late-time random-walk regime (p = 1/3)56.