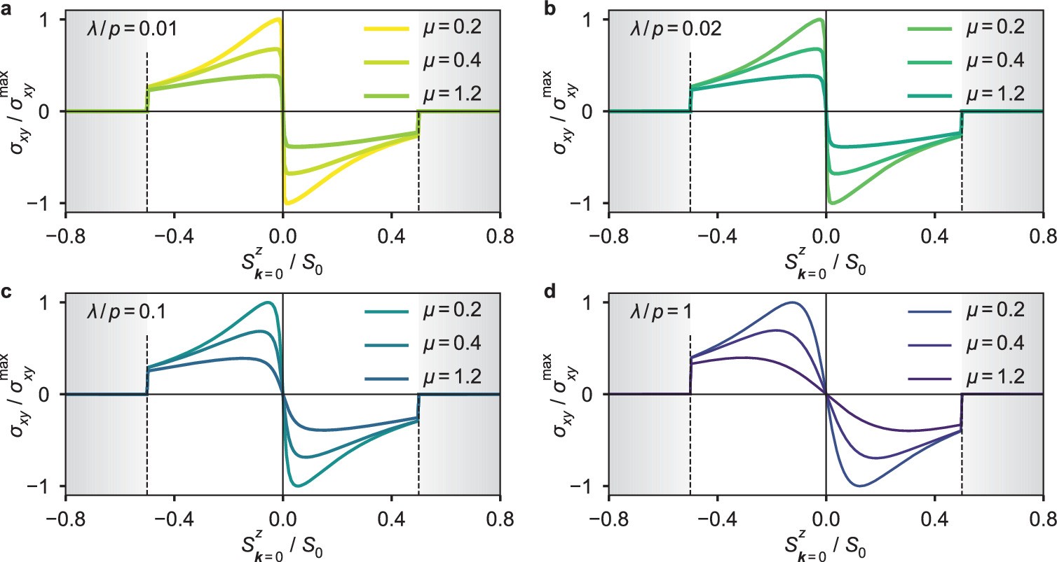
Extended Data Fig. 8: Anomalous Hall conductivity of a distorted p-wave magnet.

Anomalous Hall conductivity as a function of the uniform net magnetization \({S}_{{\boldsymbol{k}}=0}^{z}\). Here, S0 is the total length of the magnetic moment (saturation moment). In the low-energy model, only mz is varied while p = 0.1, kBT = 0.04 – as well as spin-orbit coupling strength λ and chemical potential μ, written in each panel – are fixed. We calculate \({S}_{{\boldsymbol{k}}=0}^{z}\) from mz/p and the parameters J, t of a tight-binding Hamiltonian, as described in Supplementary Note 12. A sharp anomaly emerges for small \({S}_{{\boldsymbol{k}}=0}^{z}\) when λ is weak, λ/p < 1. In the gray region, the spin helix collapses as discussed in Supplementary Note 13.