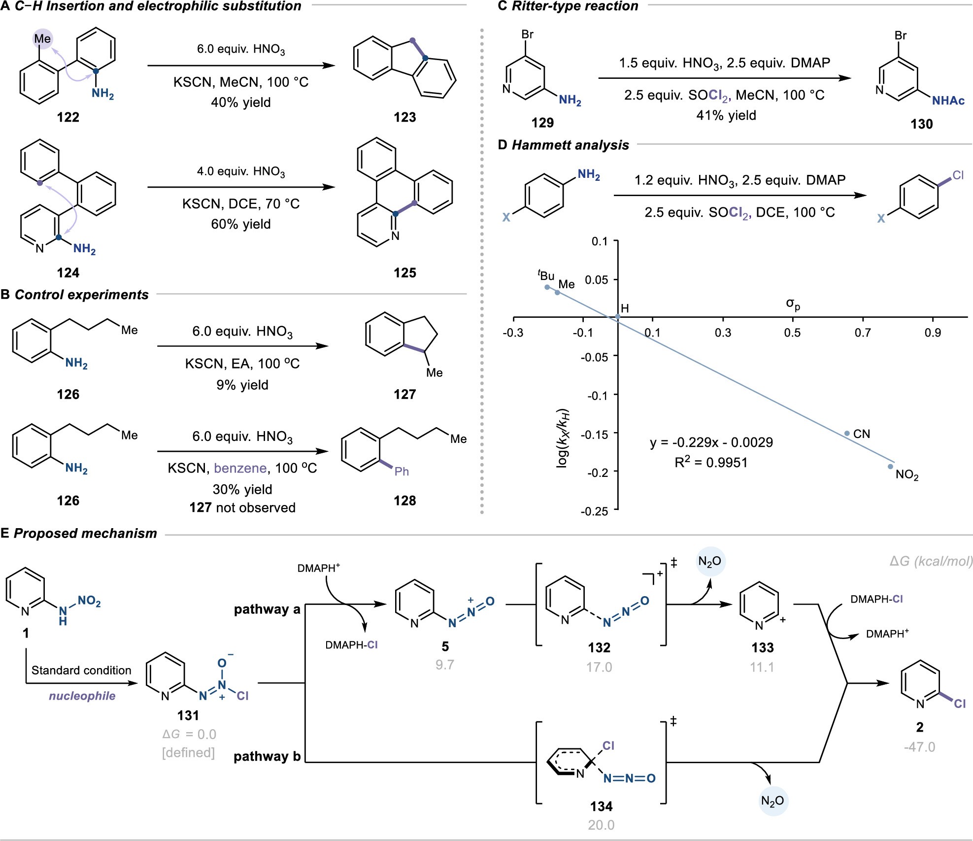
Extended Data Fig. 6: Mechanistic studies.
From: Direct deaminative functionalization with N-nitroamines

(A) C − H insertion and electrophilic substitution. (B) Control experiments. (C) Ritter-type reaction. (D) Hammett analysis. (E) Proposed mechanism. See Supplementary Information Section 3 for full experimental details.