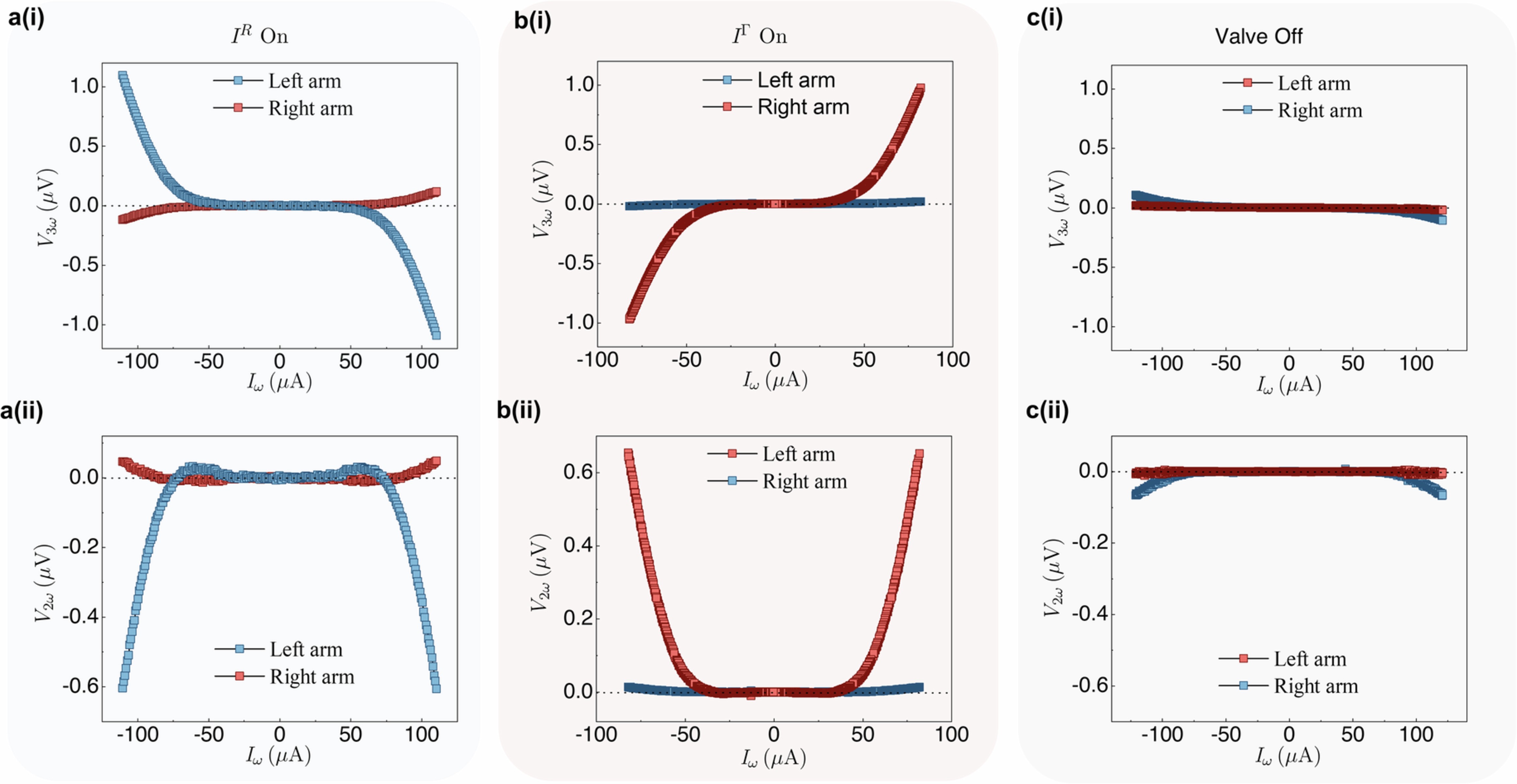
Extended Data Fig. 2: Passive control of the chiral fermionic valve.

a-c Comparison of the third-order (a(i)-c(i)) and second-order (a(ii)-c(ii)) responses in the left and right arms of the device in the ‘IR On’ (left column), ‘IΓ On’ (middle column) and ‘Valve Off’ (right column) positions. The electrical configuration used to measure these responses was the same as shown in Fig. 2.