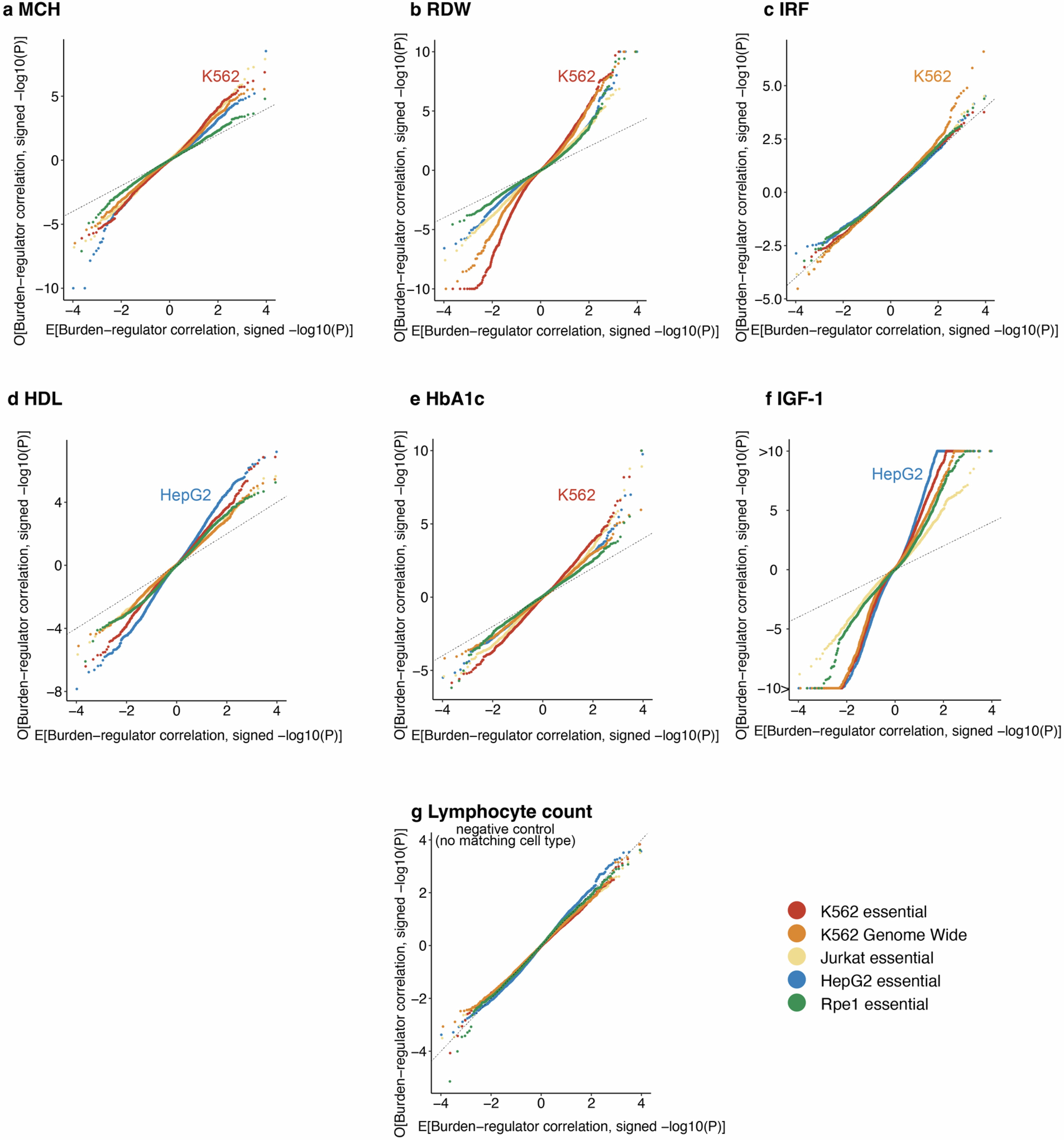
Extended Data Fig. 10: Regulator-burden correlation of genes in different cell lines.
From: Causal modelling of gene effects from regulators to programs to traits

Each dot represents one of the genome-wide expressed genes. For essential gene Perturb-seq, the correlation between regulatory effects and burden effects across essential genes is plotted. For the genome-wide Perturb-seq, the correlation across all perturbed genes is plotted.