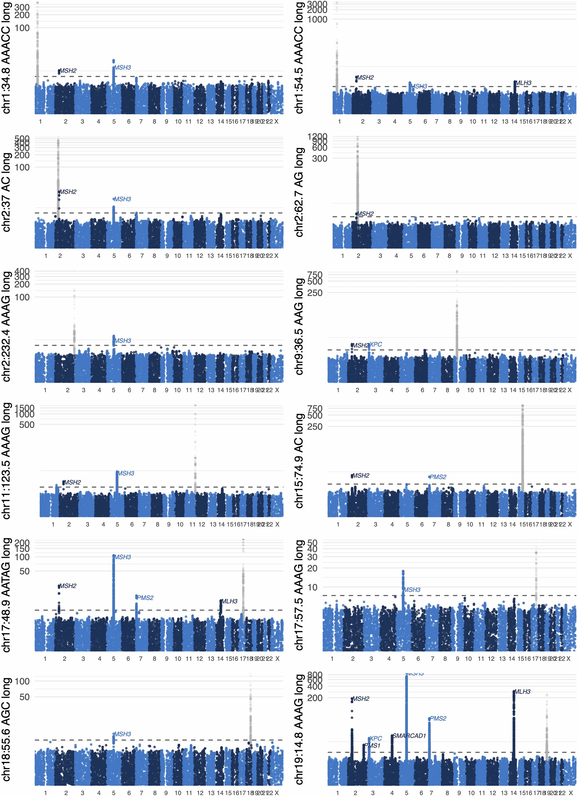
Extended Data Fig. 8: Manhattan plots for GWAS of unstable repeats for the 12 of 17 repeat loci with at least one GWAS hit that is not the repeat locus itself (n = 419,013).
From: Insights into DNA repeat expansions among 900,000 biobank participants

Associations of common variants (MAF > 1%) are plotted, and the y-axis shows –log10 p-values, plotted on a log scale. Associations of variants proximal to the repeat loci are shown in grey as they could reflect imperfect control for lengths of inherited alleles. Effect sizes and association statistics of index variants are available in Supplementary Data 3.