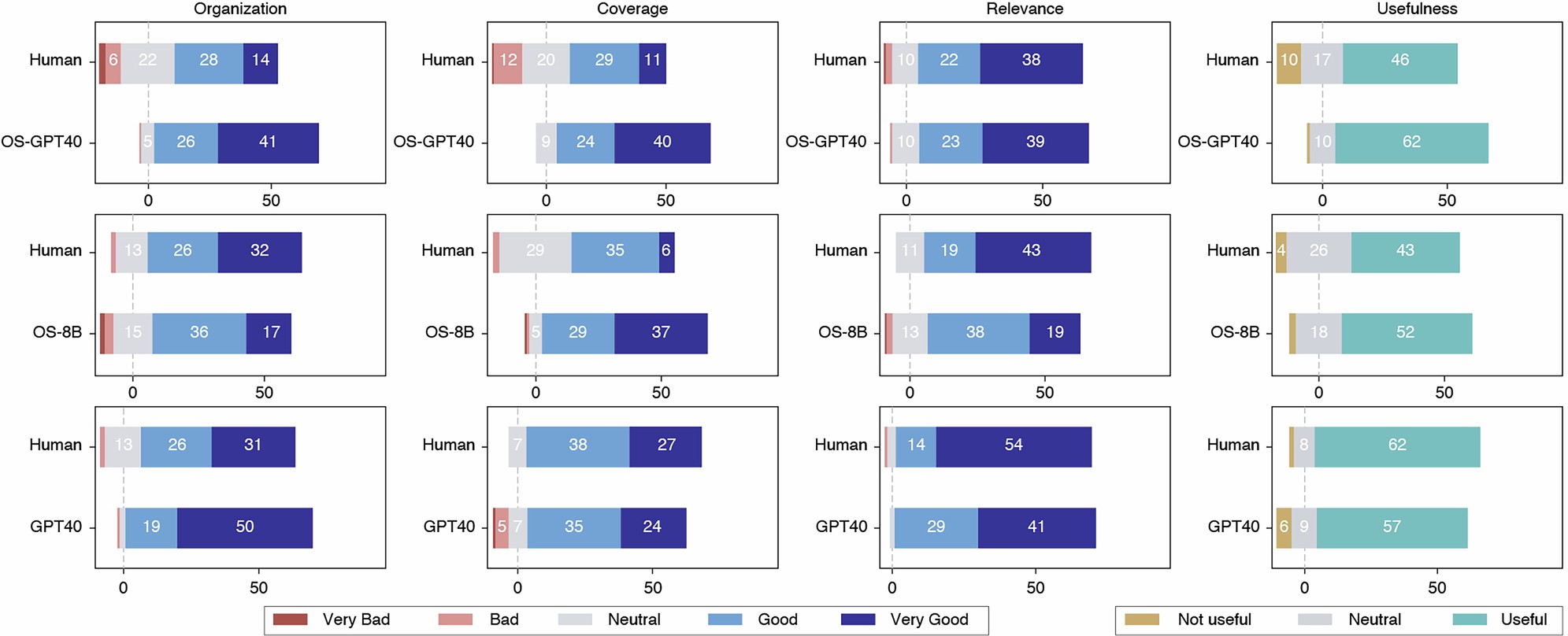
Extended Data Fig. 5: Fine-grained expert evaluations of human and model-written answers.
From: Synthesizing scientific literature with retrieval-augmented language models

Score distributions from expert raters comparing expert-written answers with GPT-4o, OpenScholar-8B and OpenScholar-GPT-4o on Scholar-Multi. The panels show histograms for organization, coverage and relevance on a five-point scale, as well as relative win/tie/lose rates against human answers. OpenScholar-GPT-4o and OpenScholar-8B are preferred over expert answers in most cases, largely because of higher coverage and depth, whereas GPT-4o without retrieval exhibits limited coverage and lower overall usefulness despite strong fluency.