Extended Data Fig. 1: Evaluation of IR prediction performance (classification).
From: Insulin resistance prediction from wearables and routine blood biomarkers

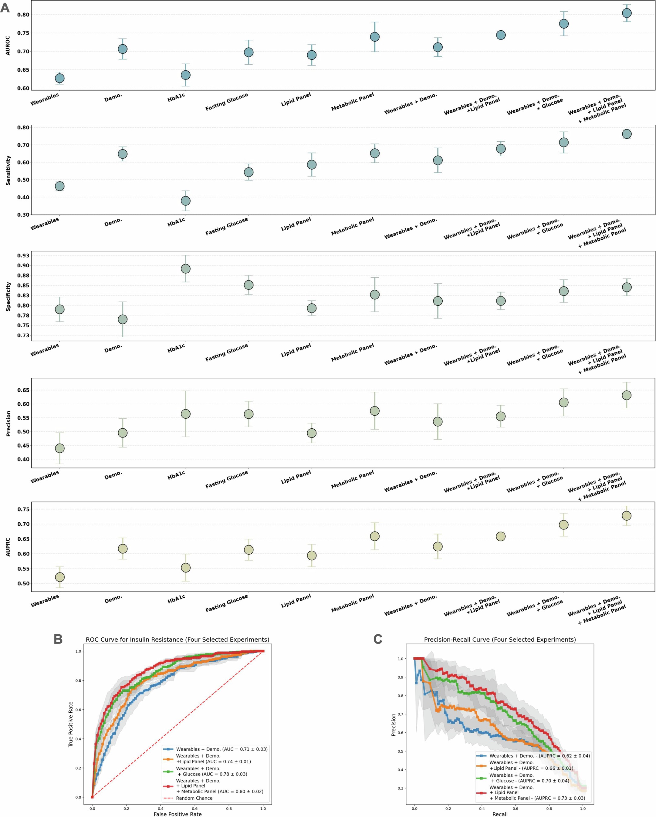
a, Performance of our binary classification model for various input features for identifying insulin resistant individuals (using MAE + L1–L2 learners). Performance is evaluated using average area under the receiver operating characteristic curve (AUROC), sensitivity, specificity, precision, and area under the precision-recall curve (AUPRC). Error bars represent the standard deviation across the five folds. b, Visualization of the ROC curves for various feature sets across five cross-validation folds. Average values are colours, with the grey areas around each line indicating the standard deviation across the five folds. c, Visualization of the precision-recall curve for selected feature sets. Coloured lines represent the mean performance across fivefold cross-validation; shaded regions indicate standard deviation.