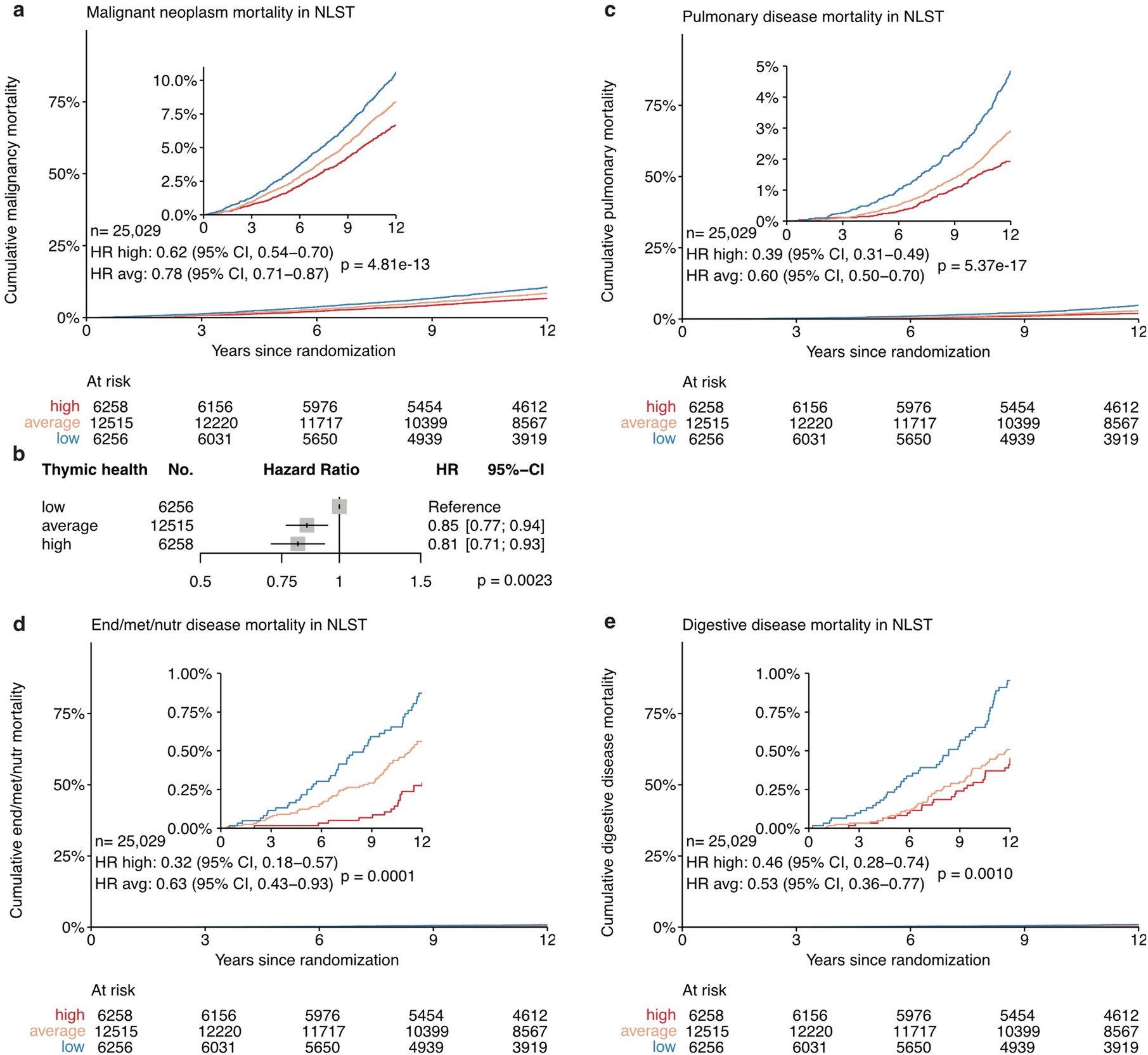
Extended Data Fig. 6: Impact of thymic health on long-term risk of disease-specific mortality and clinically relevant cardiovascular disease.

Percentage of individuals who died from a, any malignancy, b, adjusted for sex, age, and smoking status. Percentage of individuals who died from c, pulmonary disease, d, endocrine, metabolic, or nutritional disease; or e, digestive disease. Adjusted analyses of c,d,e, see Fig. 4g. Follow-up for all analyses was 12 years. The insets in the inverted Kaplan-Meier plots show the same data on an expanded y-axis. a–e, Cox proportional hazards regression was used to estimate HRs. In the forest plot, the center of each box represents the estimated hazard ratio, and the whiskers denote the corresponding 95% CI; arrowheads indicate that the 95% CI extends beyond the visualized limits; shaded box size is for visualization only and does not encode statistical weight. The overall contribution of thymic health to uni- or multivariable models was evaluated using likelihood ratio tests (χ² tests) comparing full models with nested models excluding thymic health (type III test, two-sided) with no adjustments for multiple comparisons. CI Confidence Interval, FHS Framingham Heart Study, HR Hazard Ratio, NLST National Lung Screening Trial.