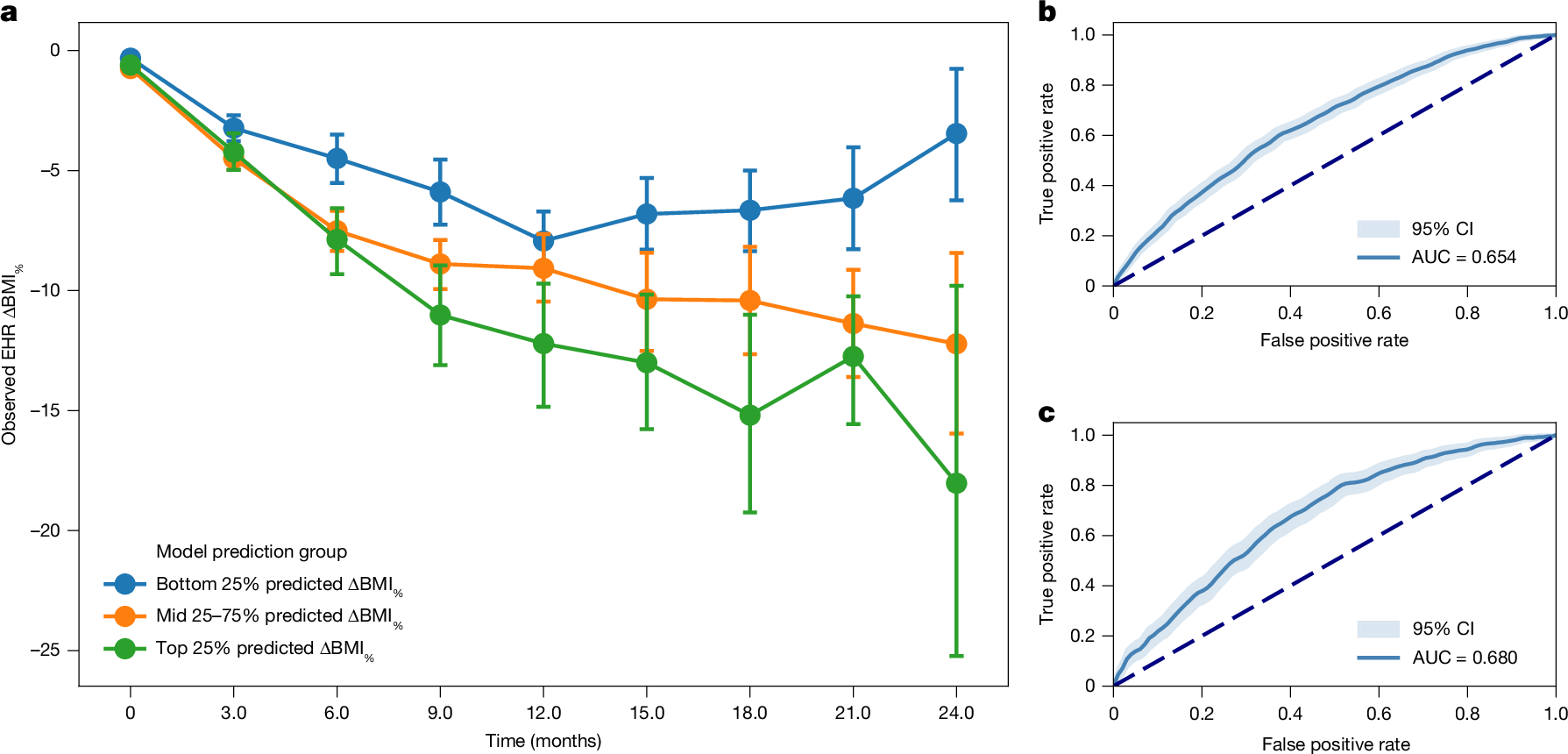
Fig. 3: Combined genetic and non-genetic model performance in test set.
From: Genetic predictors of GLP1 receptor agonist weight loss and side effects

a, Validation of ΔBMI% model in longitudinal HealthKit EHR data. Circles, point estimates; horizontal bars, 95% confidence intervals. b, Receiver operating characteristic curve for nausea side effect, as assessed in held out test data. c, Receiver operating characteristic curve for vomiting side effect, as assessed in held out test data. AUC, area under the curve; CI, confidence interval.