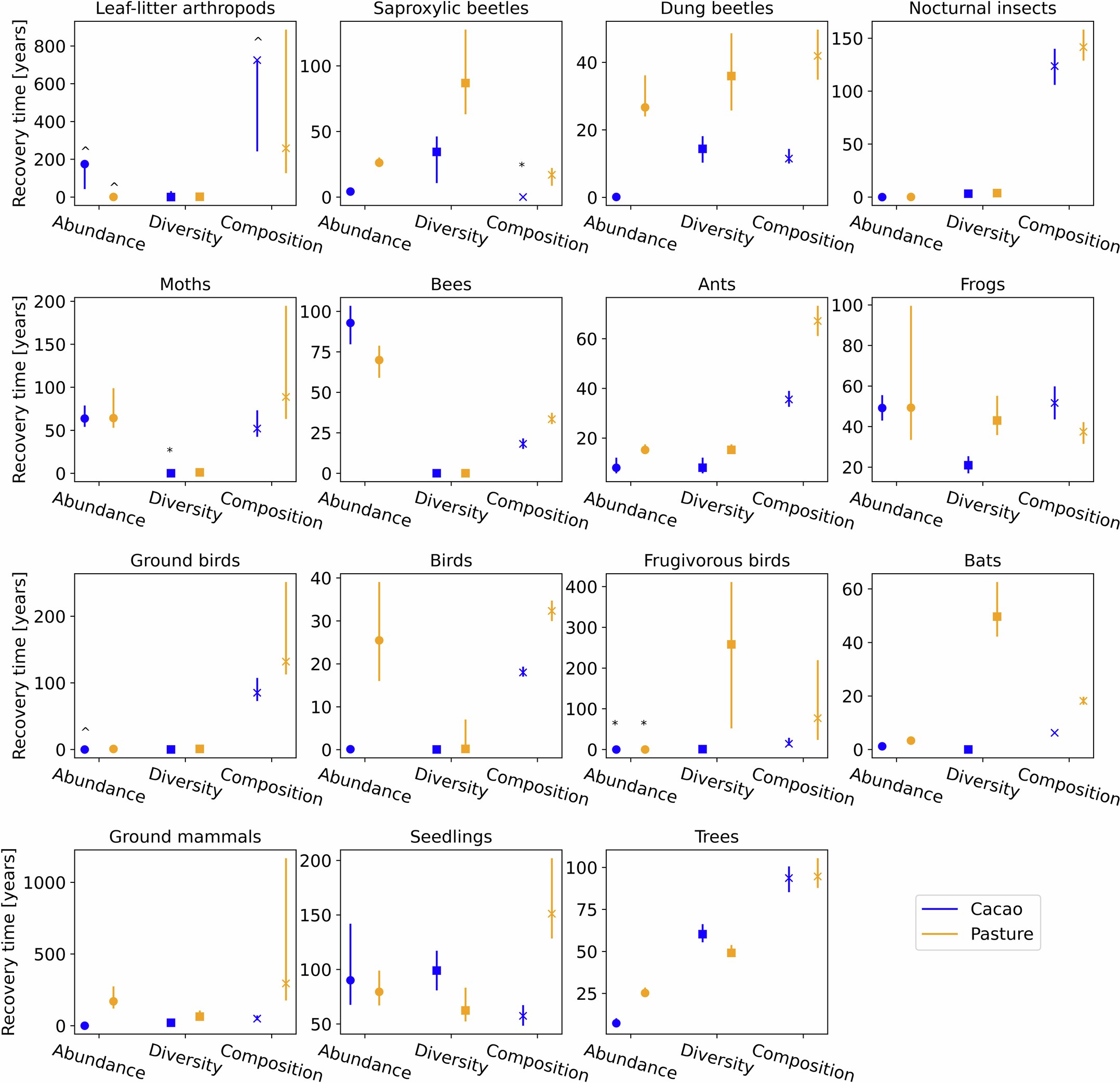
Extended Data Fig. 3: Predicted recovery times to 90% of old-growth forest values.

Dots refer to the predicted value of the recovery time to 90% of old-growth forest values. Whiskers represent 95% confidence intervals calculated with a jackknife-procedure based on n-1 iterations with n being the number of sampled plots per and legacy (bacteria in 10 cm depth: n = 18/20; bacteria in 50 cm depth: n = 14/14; leaf-litter arthropods: n = 19/19; frogs: n = 23/23; seedlings: n = 24/24; nocturnal insects: n = 39/38; all other taxa: n = 39/40 for cacao/pasture plots). Asterisks indicate predicted recovery times that were manually set to 0 (see Supplementary Note 2). Recovery times of bacteria were very long and could not be displayed, but are presented in Supplementary Table 1. Recovery times marked with a”^” had very large upper confidence intervals, which were not displayed but can be seen in Supplementary Table 1.