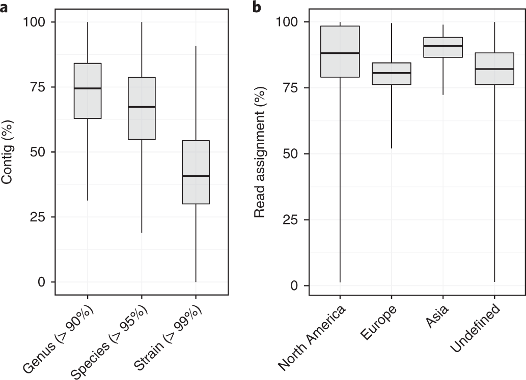
Fig. 3: Classification efficiency using the HGG.
From: A human gut bacterial genome and culture collection for improved metagenomic analyses

a, Contig assignment from 13,490 metagenomic samples at genus (90%; min., 31.35; Q1, 62.92; median, 74.48; Q3, 84.10; max., 100.0), species (95%; min., 18.94; Q1, 54.80; median, 67.35; Q3, 78.73; max., 100.0) and strain (99%; min., 0.0; Q1, 30.03; median, 40.82; Q3, 54.35; max., 90.77) identity compared to the HGG. b, Classification of metagenomic sequenced samples from North America (n = 2,064; min., 1.31; Q1, 79.07; median, 88.16; Q3, 98.42; max., 99.97), Europe (n = 1,431; min., 52.07; Q1, 76.28; median, 80.66; Q3, 84.47; max., 99.52), Asia (n = 191; min., 72.37; Q1, 86.56; median, 90.84; Q3, 94.13; max., 98.93) and the other undefined locations (n = 9,804; min., 1.45; Q1, 76.28; median, 82.14; Q3, 88.25; max., 99.94).