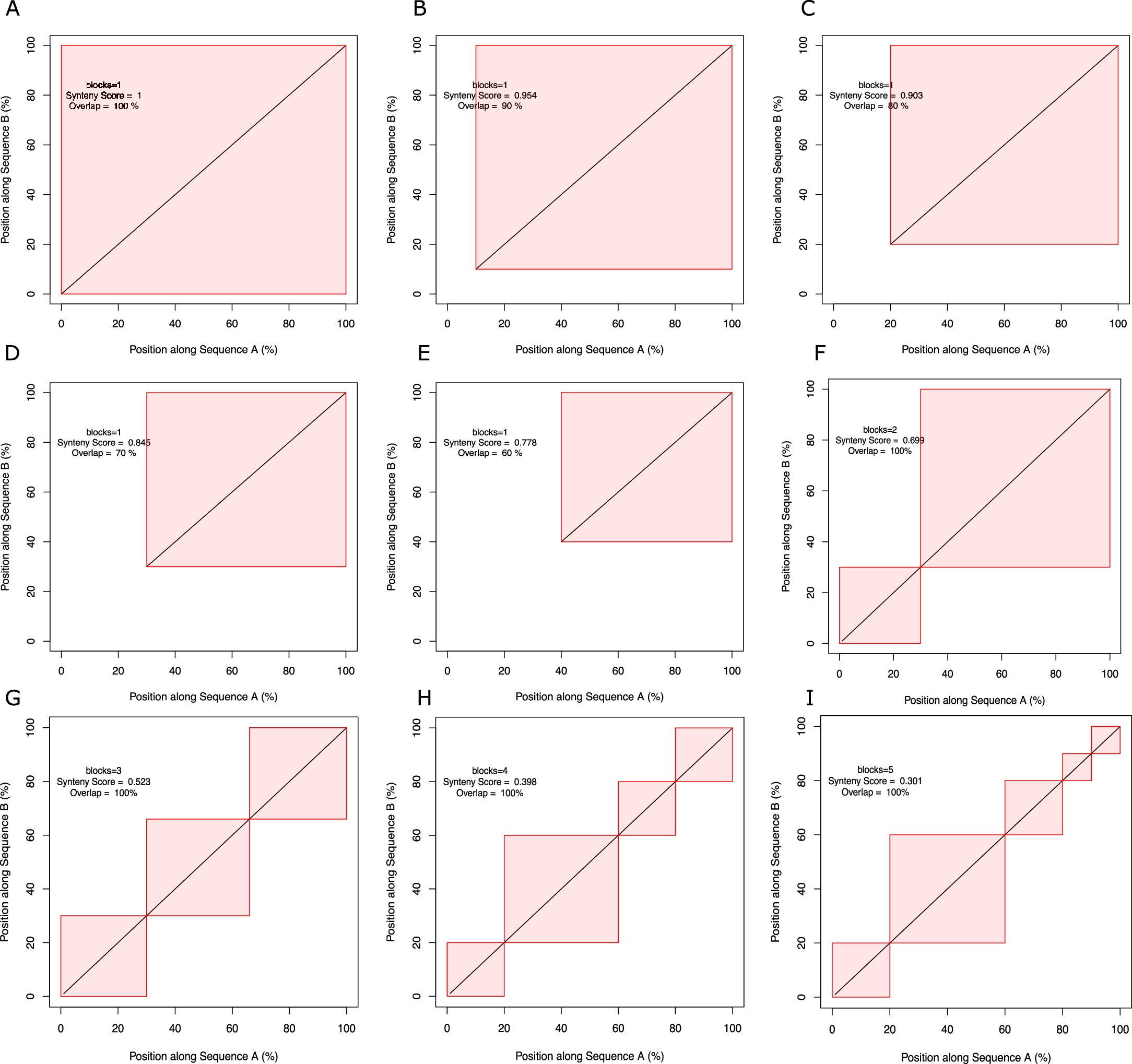
Extended Data Fig. 1: Examples for the influence of the number of synteny blocks and sequence overlap on the synteny score.
From: Strain tracking in complex microbiomes using synteny analysis reveals per-species modes of evolution

Examples for the influence of the number of synteny blocks and different sequence overlap on the synteny score of a single hypothetical region. a–e Examples for the synteny scores when a single synteny block is identified, with different levels of sequence coverage. f–i Synteny scores of regions with 100% coverage and different numbers of synteny blocks.