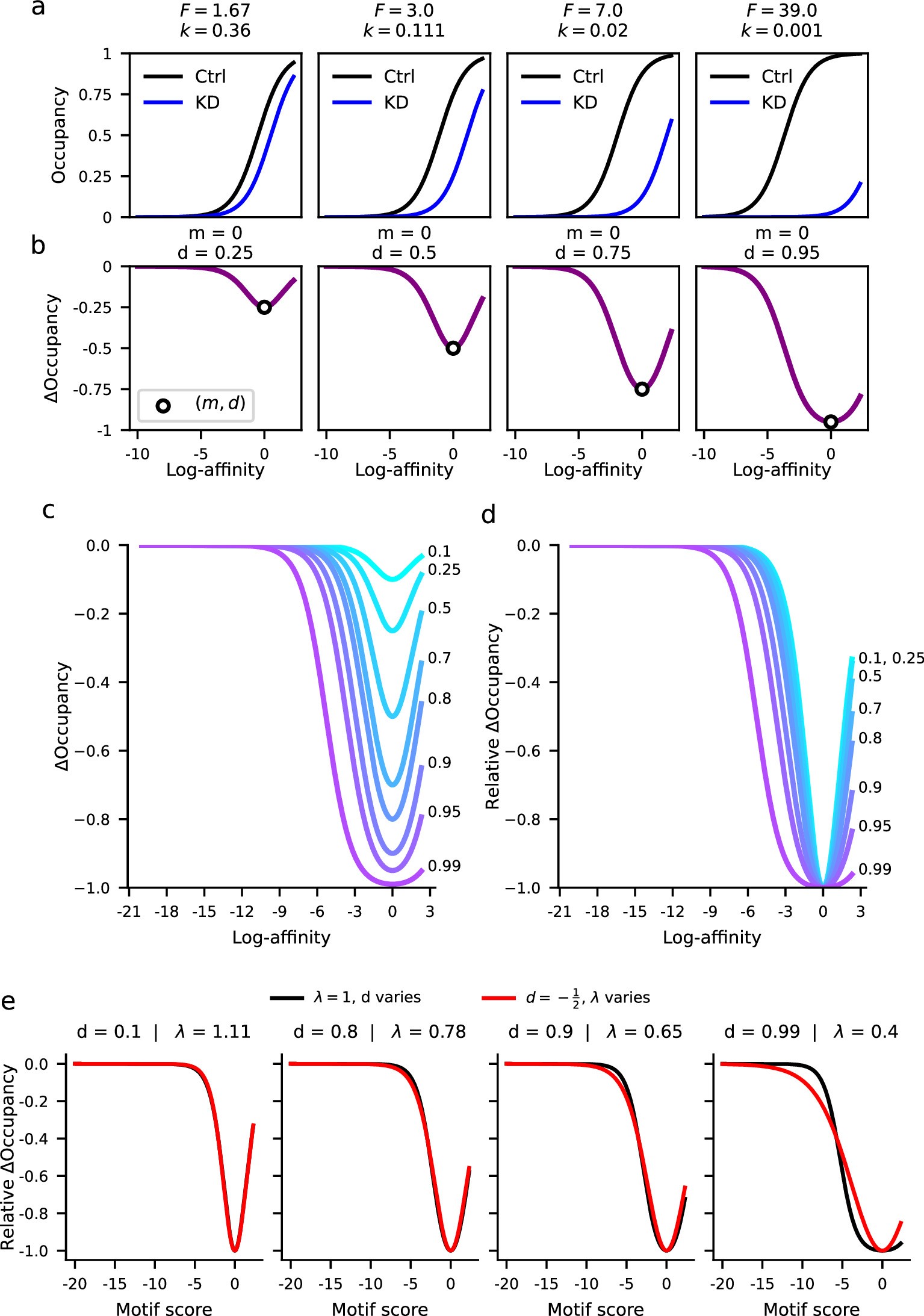
Extended Data Fig. 8: Illustrative examples of how the binding function is defined.
From: KATMAP infers splicing factor activity and regulatory targets from knockdown data

a) The affinity-occupancy relationship before (black) and after knockdown (blue) for different pre-knockdown free protein concentrations (F) and knockdown efficiencies (1 − k). b) The change in binding functions that result from occupancy curves in a, with the corresponding values for the shape parameters m and d. Note that unlike the biophysical parameters (F and k) these shape parameters explicitly define the affinity and magnitude of the greatest binding change (open circle). c-d) Absolute change in binding (c) and relative change in binding (d) with the most-relevant affinity m = 0 for different values of d. e) The best approximations of the binding function at a given d obtainable by rescaling the affinities.