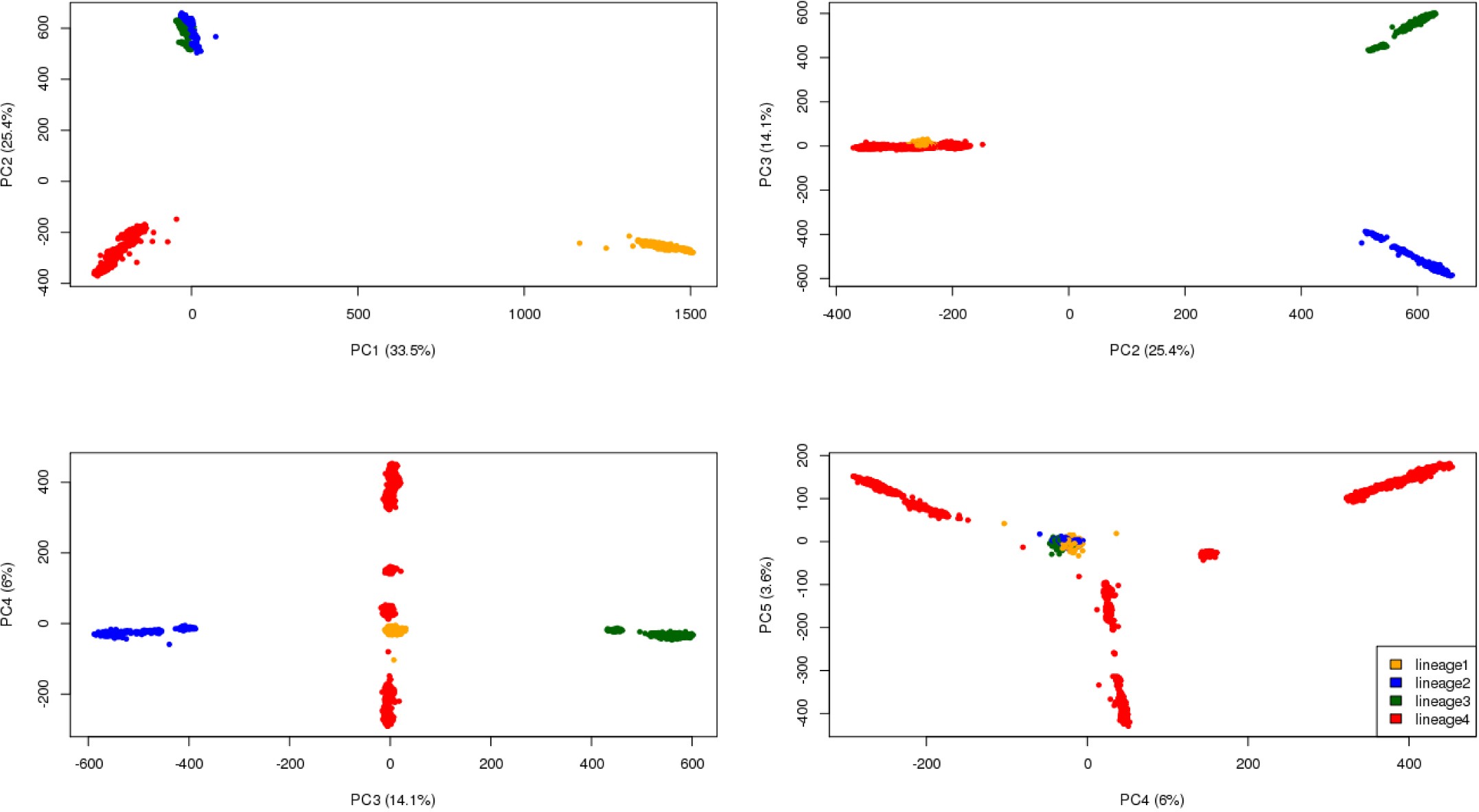
Supplementary Figure 2
From: Genome-wide analysis of multi- and extensively drug-resistant Mycobacterium tuberculosis

Principal-component analysis confirms lineage- and sublineage-based population structure (total variation explained across five components is 82.7%)