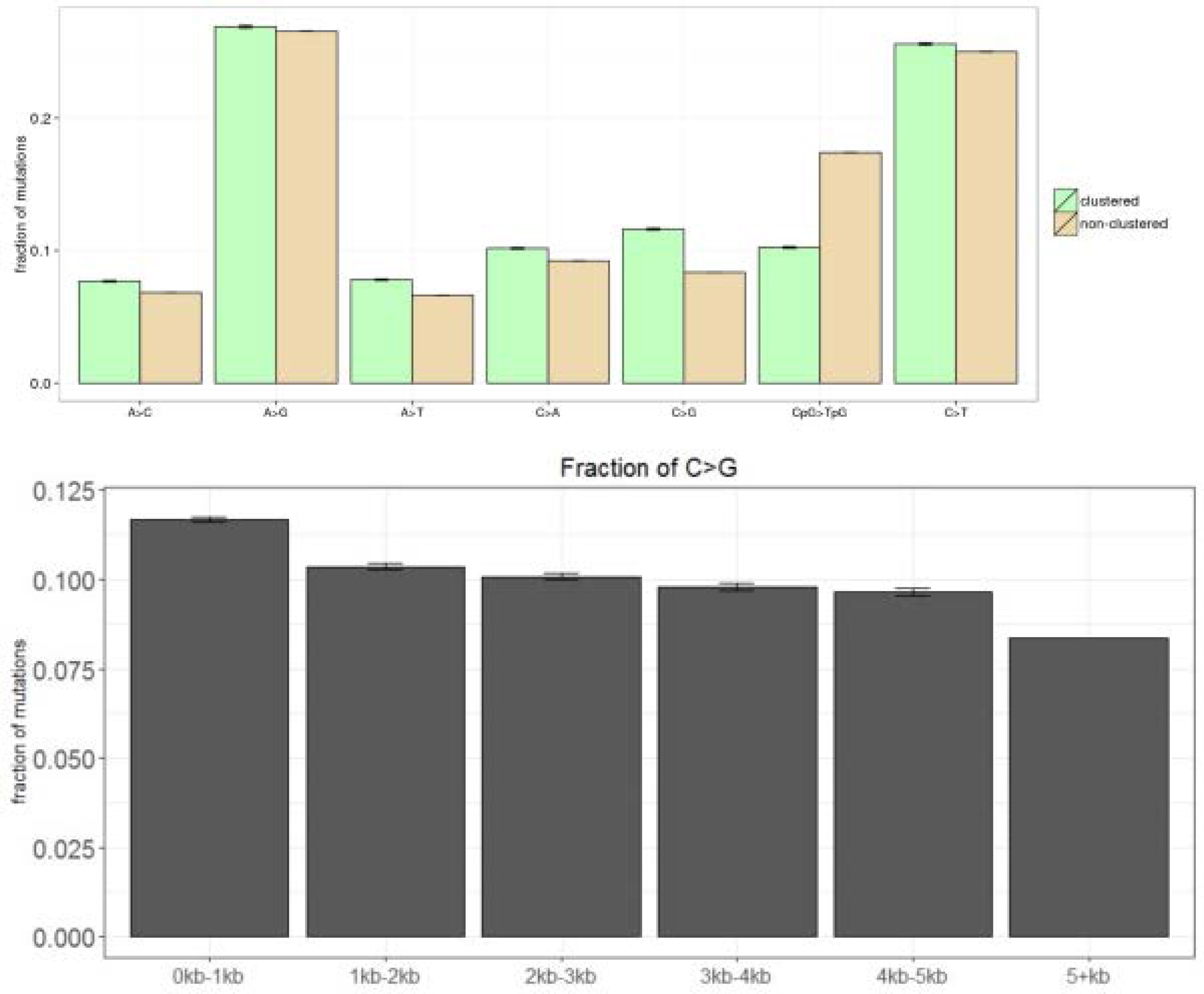
Supplementary Figure 15: C>G mutations in cSNPs.

(a) cSNPs depleted by CpG>CpT mutations, but enriched by remaining C>G mutations, reproducing hallmarks of cDNM spectra. (b) Fraction of non-CpG C>G nucleotide substitutions in cSNP spectra decreases with inter-mutational distances, showing a lower fraction of real clusters at higher distances.