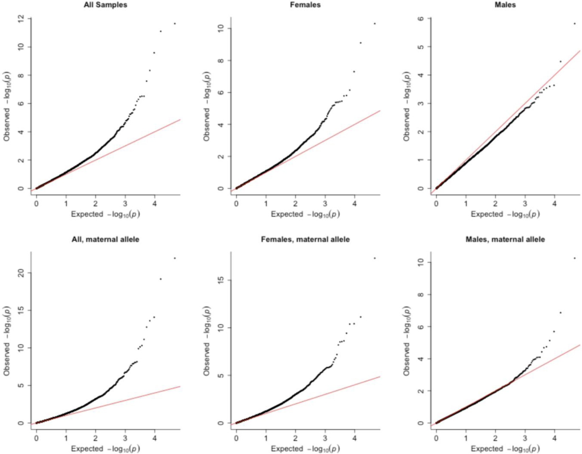
Supplementary Figure 1: Sex-stratified and parent of origin effects on the KLF14 trans- eQTL.

QQ-plots of association between rs473102 and all adipose probes in the deCODE dataset (female N=376 and male N=265). Top row displays results from standard genotypic tests, bottom row displays results for test of association to maternally inherited allele