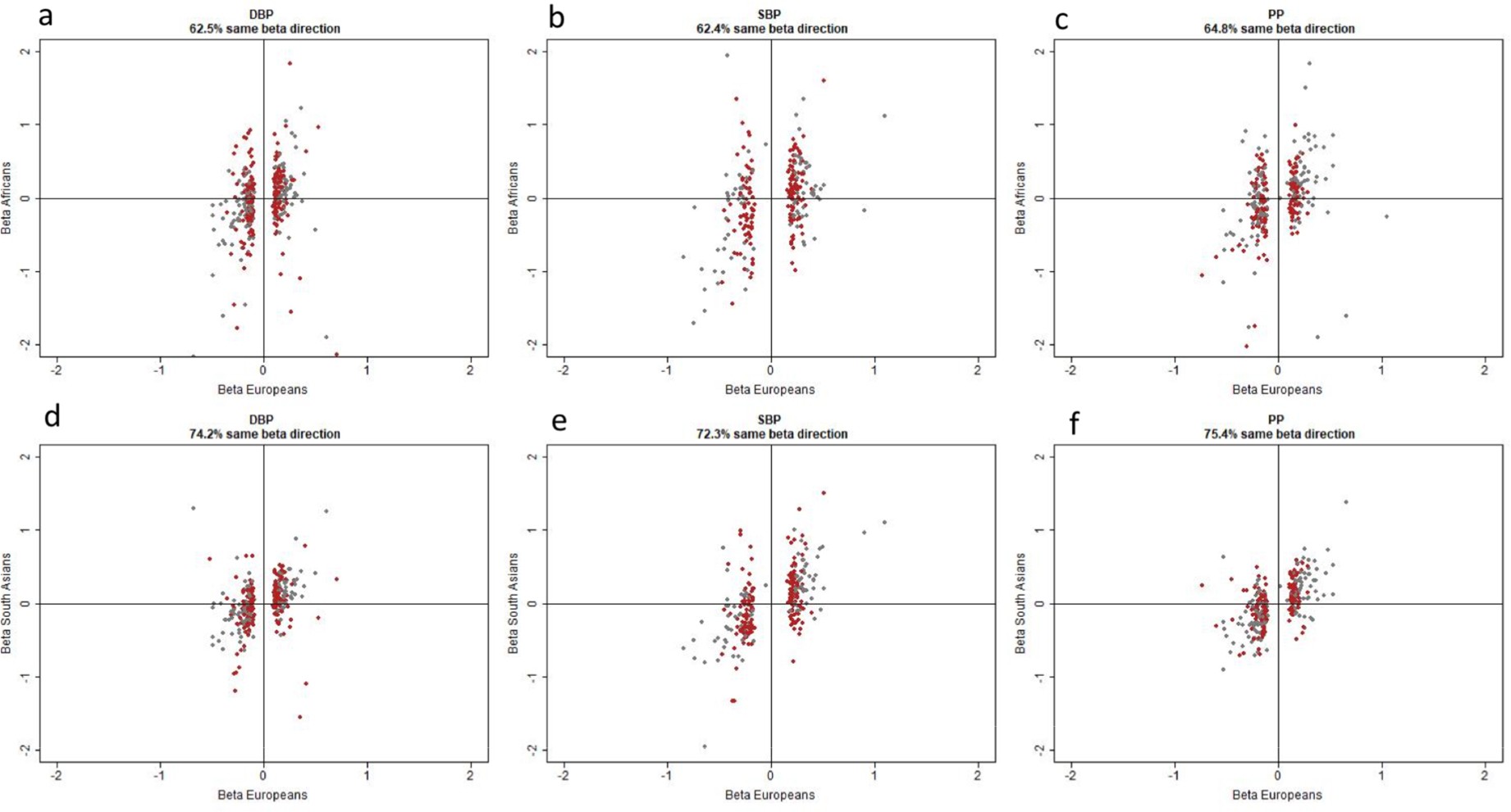
Supplementary Figure 10: Comparison of β effect sizes between individuals of European (n = 757,601), African (n = 7,782) and South Asian (n = 10,323) ancestry.

(a-f) Scatterplots showing the direction of the standardized regression coefficient (beta) of novel (red) and known (grey) blood pressure variants between Europeans and Africans (a-c) and South Asians (d-f), on the three studied blood pressure phenotypes.