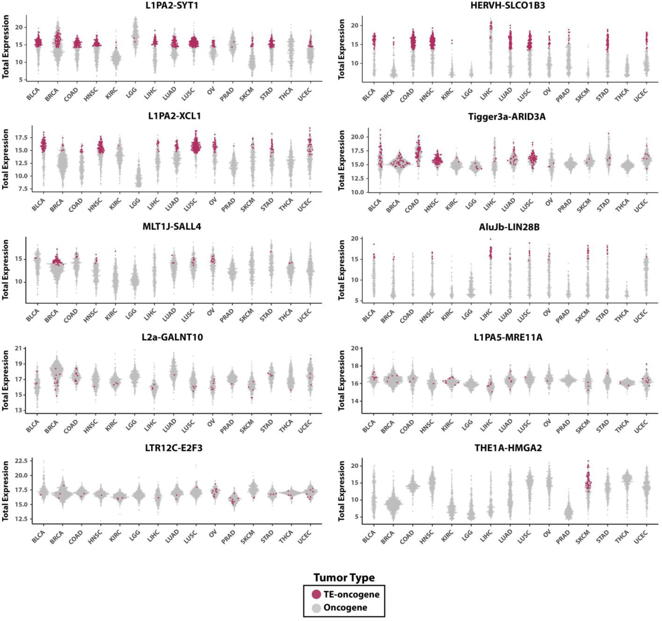
Supplementary Figure 3: Oncogene expression profiles of the top ten onco-exaptation candidates across cancer types.
From: Transposable elements drive widespread expression of oncogenes in human cancers

Oncogene expression of each tumor with and without an onco-exaptation event. Each gray dot represents a tumor while the red dots reveal whether the tumor is predicted to have an onco-exaptation event. Total expression is represented as log2(FPKM-UQ) provided by TCGA GDC (https://portal.gdc.cancer.gov/).