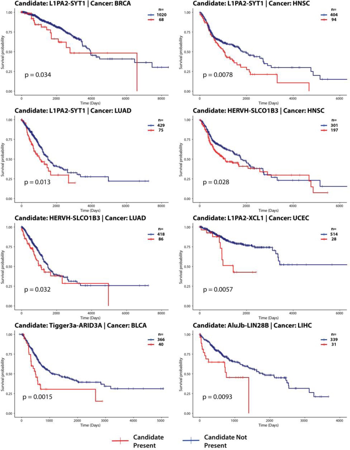
Supplementary Figure 4: Overall survival effect of onco-exaptation candidates.
From: Transposable elements drive widespread expression of oncogenes in human cancers

Kaplan-Meier Curves for the 8 examples of where a top 10 candidate was significantly prognostic in a cancer (p < 0.05) based on log-rank statistical test (two-sided). The red line in each graph represents patients where the candidate was found to be present, and in blue line represents all the patients where the candidate was not detected. All were found to negatively impact overall survival. The number of biologically independent patients is listed within each plot.