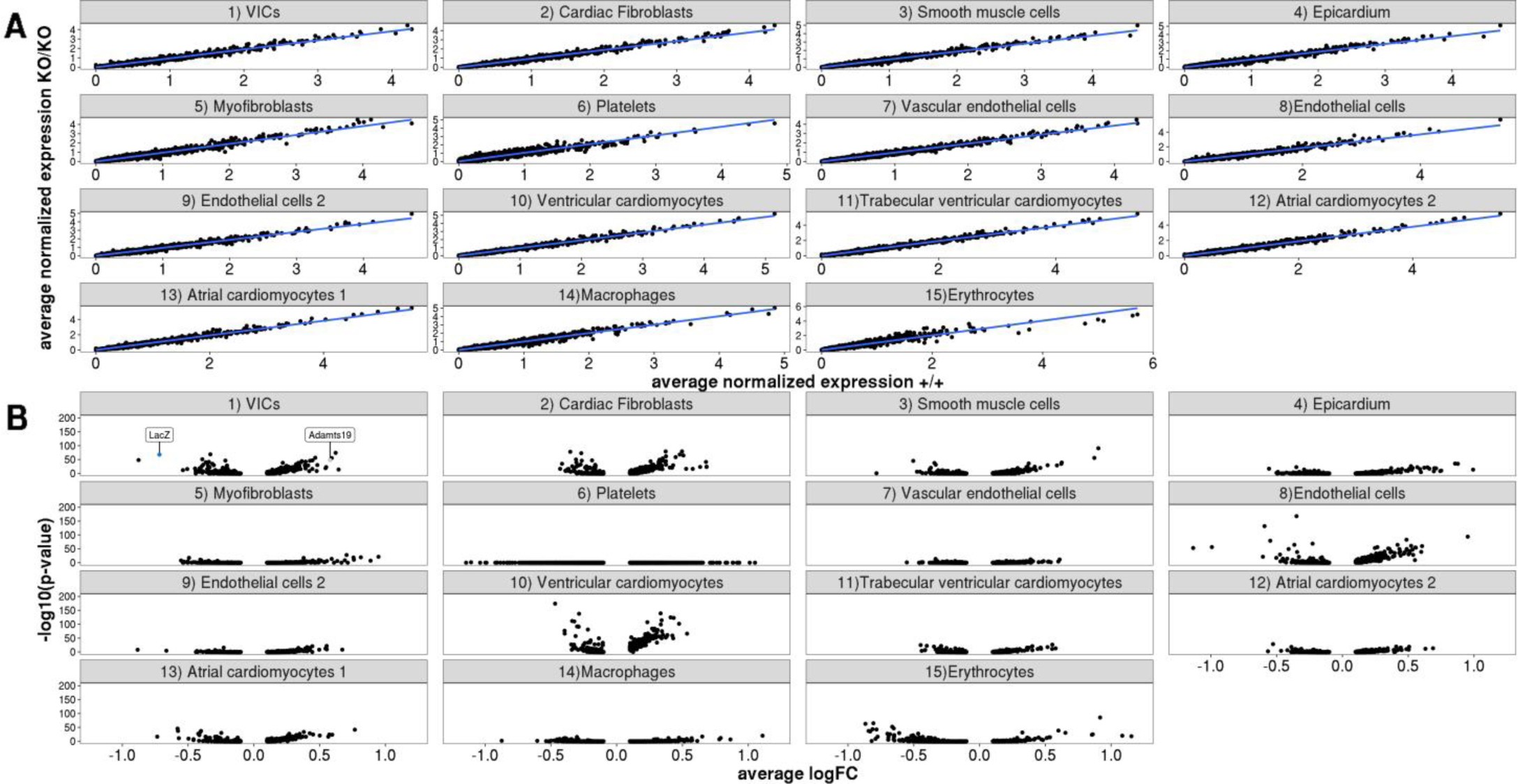
Supplementary Fig. 14: Differential expression analysis between Adamts19+/+ and Adamts19KO/KO cells per cell type.
From: Loss of ADAMTS19 causes progressive non-syndromic heart valve disease

A) Correlation of average expression between wild-type (x-axis) and Adamts19KO/KO cells (y-axis) per cell type. Each dot represents a gene. B) Volcano plots of differentially expressed genes between Adamts19+/+ Adamts19KO/KO cells per cell type. Adamts19 and LacZ are marked in the VIC cell cluster. All genes with an average log fold change of > 0.1 are shown. N = 7 for Adamts19+/+ and n = 8 for Adamts19KO/KO.