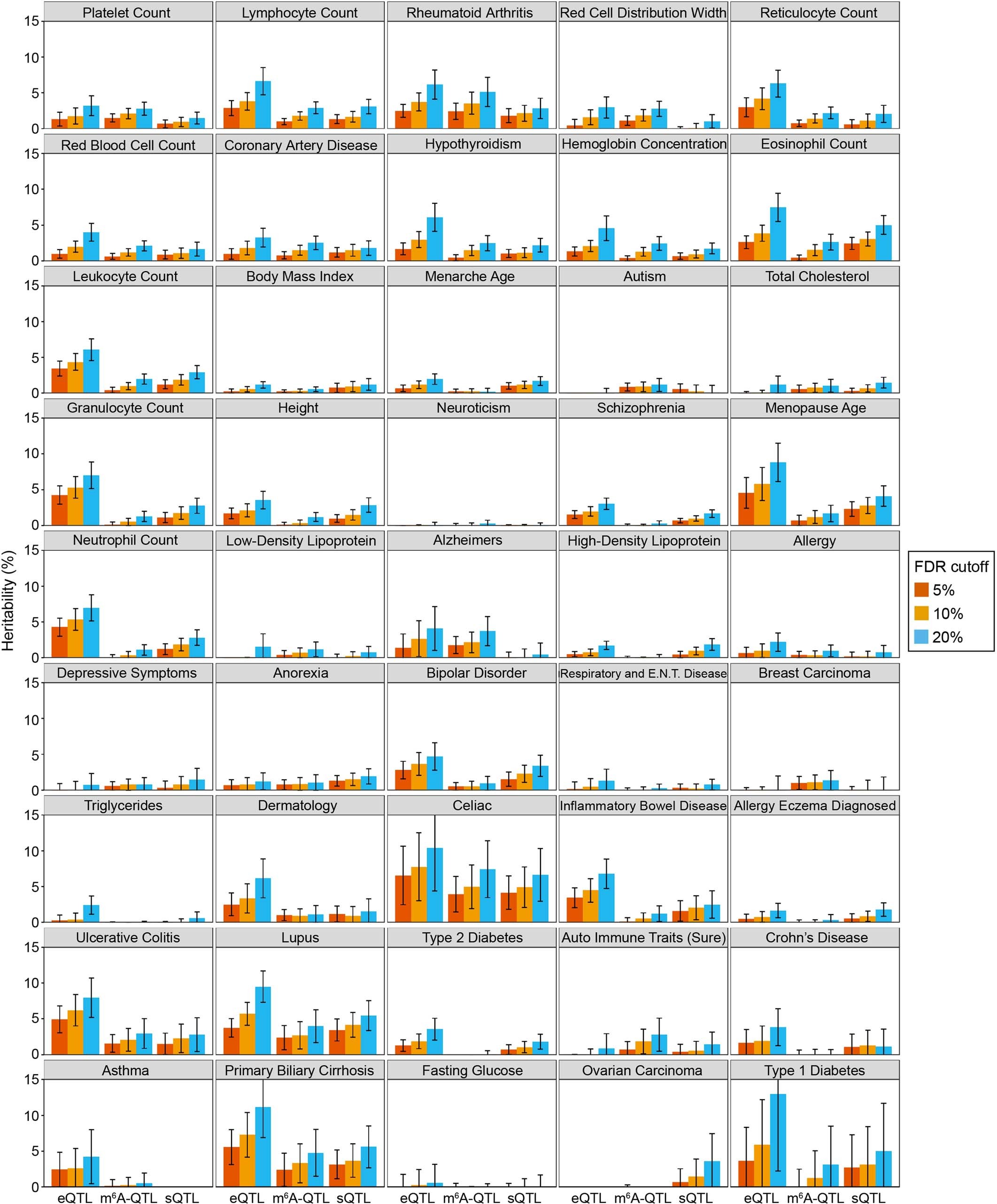
Extended Data Fig. 8: Partitioning complex trait heritability by m6A-QTLs, eQTLs and sQTLs.

Heritability is assessed by S-LDSC in which QTLs are binary annotated with varying SNP-level FDR thresholds of 5%, 10%, and 20%. Error bars represent standard errors.