Fig. 5: Overview of the novel GWAS co-localizations detected in the eQTL Catalogue but not in any of the GTEx tissues.
From: A compendium of uniformly processed human gene expression and splicing quantitative trait loci

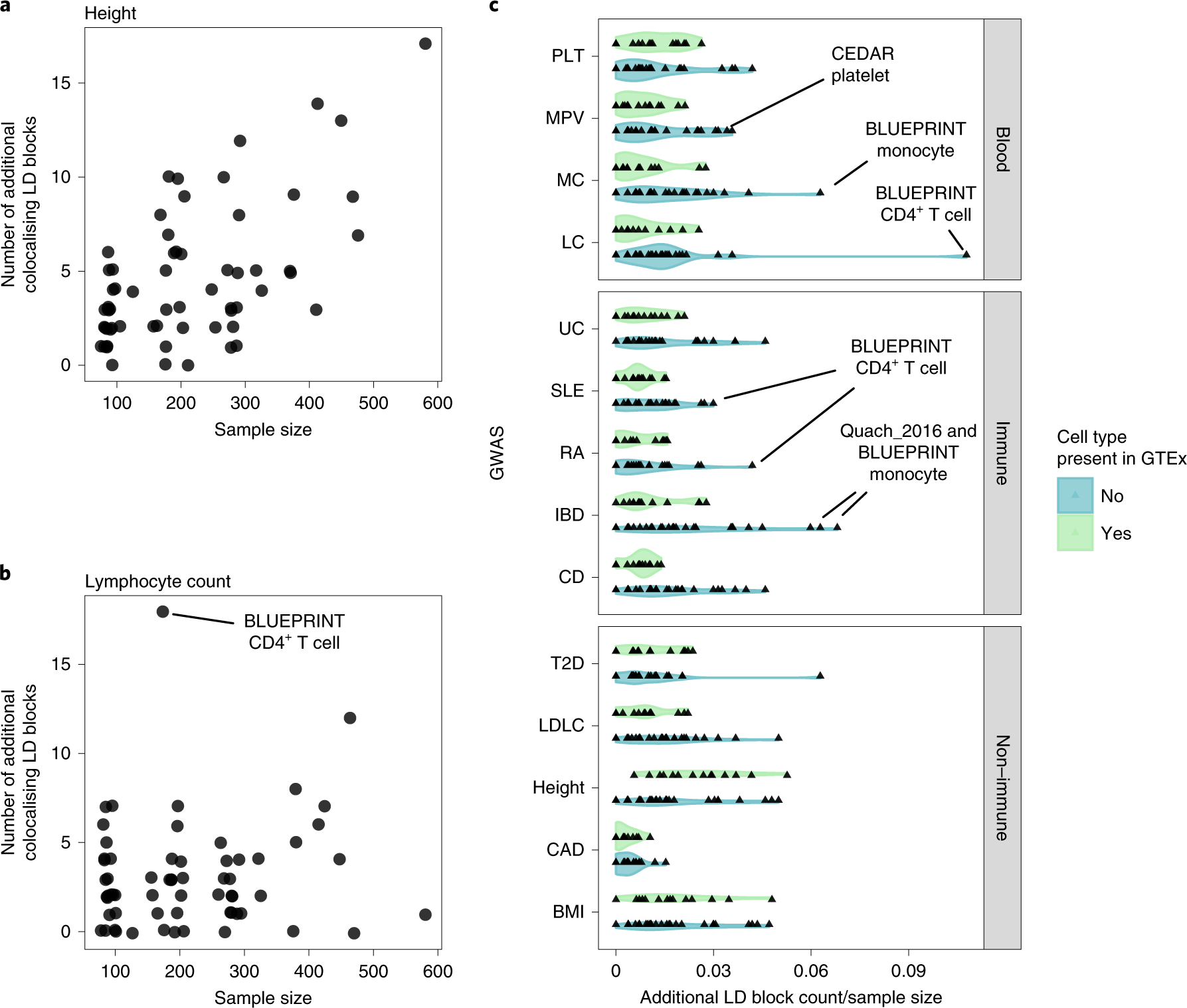
a, The number of new height GWAS loci that co-localize with eQTLs in each cell type or tissue as a function of eQTL dataset size. b, The number of new lymphocyte count GWAS loci that co-localize with eQTLs in each cell type or tissue as a function of eQTL dataset size. c, The number of new co-localizing loci detected for the 14 GWAS traits in each cell type and tissue from the eQTL Catalogue divided by the eQTL sample sizes. The eQTL Catalogue cell types and tissues were grouped according to whether they were present in GTEx (blood, LCLs, adipose, muscle, skin and brain) or not (T cells, B cells, monocytes, macrophages, neutrophils and iPSCs). GWAS traits: PLT, MPV, MC, LC, UC, SLE, RA, IBD, CD, T2D, height, CAD, BMI and LDLC. The same analysis for the other three quantification methods is presented in Extended Data Fig. 9.