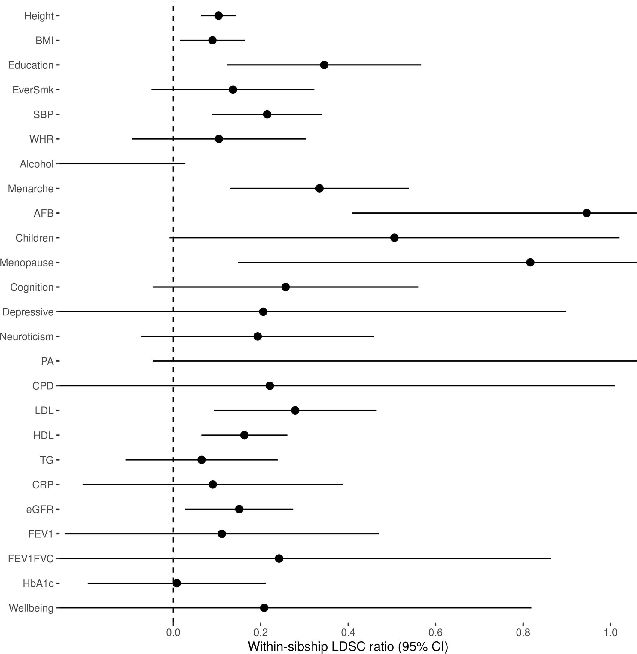
Extended Data Fig. 8: LDSC estimates of confounding across 25 phenotypes using within-sibship data.
From: Within-sibship genome-wide association analyses decrease bias in estimates of direct genetic effects

BMI = body mass index, EverSmk = ever smoking, SBP = systolic blood pressure, WHR = waist-hip ratio, AFB = age at first birth, PA = physical activity, CPD = cigarettes per day, TG = triglycerides, CRP = C-reactive protein, eGFR = estimated glomerular filtration rate, FEV1 = forced expiratory volume, FEV1FVC = ratio of FEV1/forced vital capacity, HbA1c = Haemoglobin A1C. Extended Data Figure 8 shows LDSC ratio estimates and corresponding 95% confidence intervals 25 phenotypes using the within-sibship meta-analysis data. The LDSC ratio is a measure of the % of the polygenic signal attributable to confounding in a GWAS dataset. The number of individuals contributing to each phenotype ranged from n = 149,174 for height to n = 13,375 for age at menopause. Further information on the sample sizes of each phenotype are contained in Supplementary Table 2.