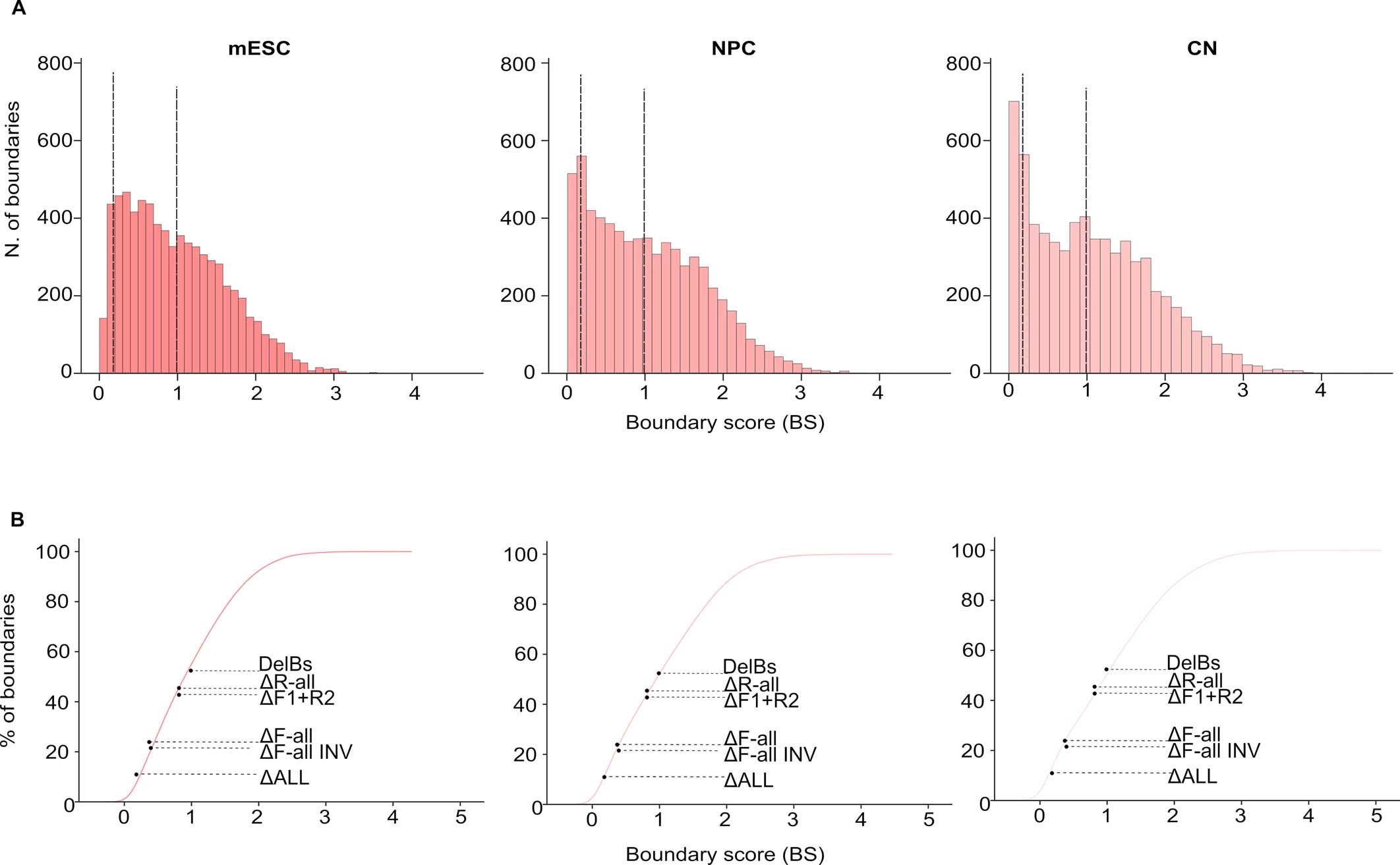
Extended Data Fig. 10: The boundary score (BS) of 40% of boundaries genome-wide could potentially allow regulatory inter-boundary interactions.

a. Histogram representing the distribution of Boundary Scores genome-wide calculated from the mESC (left), neural progenitor cells (center) and cortical neurons (right) Hi-C datasets26 Many of them fall within the range of boundary scores of the EP boundary in our mutant series (demarcated by the vertical dashed lines). b. Cumulative distribution of the boundary scores from A. The boundary scores of the EP boundaries in each of our mutants is highlighted.