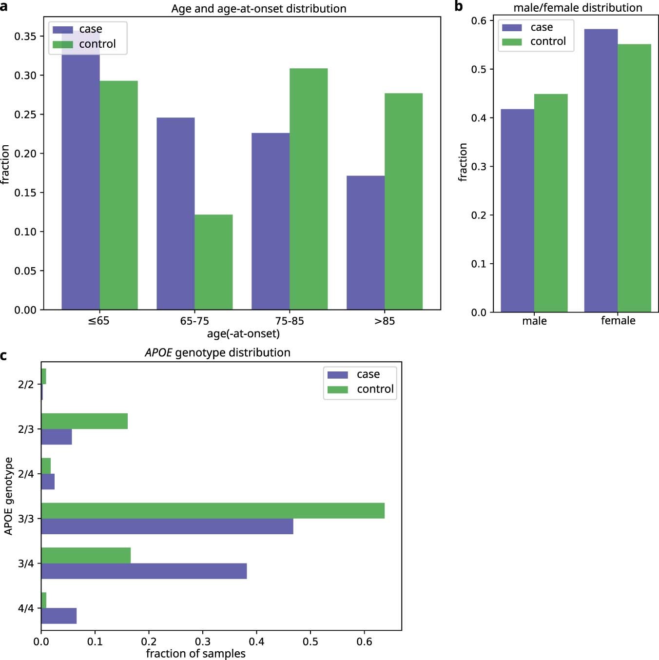
Extended Data Fig. 1: Age, gender, APOE genotype distribution.

Age, gender and APOE genotype distribution of all samples, stratified by case/control status.

Age, gender and APOE genotype distribution of all samples, stratified by case/control status.