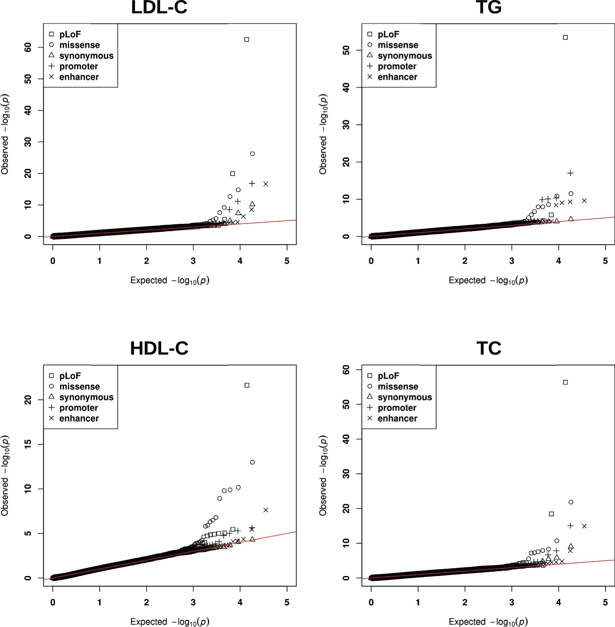
Extended Data Fig. 1: Quantile-quantile plots for gene-centric unconditional meta-analysis of lipid traits LDL-C, HDL-C, TG and TC using TOPMed WGS data (n = 30,138).

MetaSTAAR-O is a two-sided test. Different symbols represent the MetaSTAAR-O P values of different functional categories of individual genes (putative loss-of-function, missense, synonymous, promoter and enhancer). The promoter and enhancer of a gene are the promoter and the GeneHancer region that overlap with CAGE sites for a given gene, respectively (Methods). Four lipid traits were analyzed using MetaSTAAR-O: LDL-C, low-density lipoprotein cholesterol; HDL-C, high-density lipoprotein cholesterol; TG, triglycerides; and TC, total cholesterol.