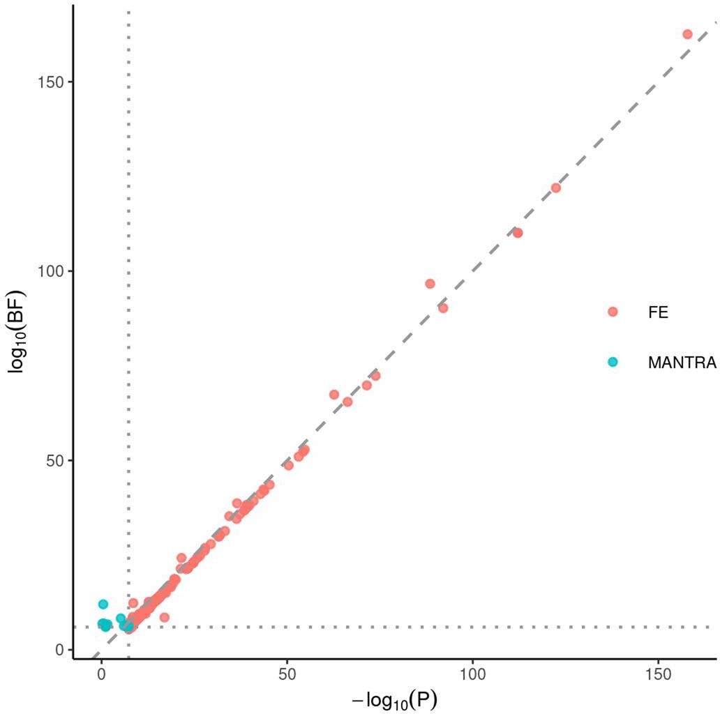
Extended Data Fig. 3: Comparison between the fixed-effect (FE) meta-analysis and MANTRA.
From: Genetic architecture of the inflammatory bowel diseases across East Asian and European ancestries

Index variants in loci identified by either FE or MANTRA were plotted. For FE, we used genome-wide significance threshold of 5 × 10−8, and for MANTRA, we used the Bayes Factor threshold of 106, plotted as the vertical and horizontal lines respectively. P, P-value from FE. BF, Bayes factor from MANTRA.