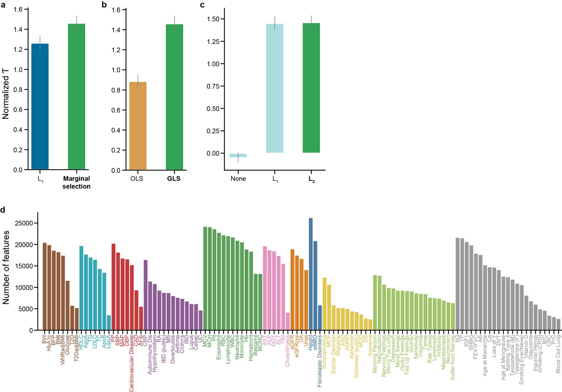
Extended Data Fig. 1: PoPS model parameter choices and feature selection.

a-c, Results using Benchmarker to compare different parameter choices for fitting the PoPS model, meta-analyzed across independent traits (n = 46). Error bars represent 95% confidence intervals around the meta-analyzed point estimate. a, Feature selection: GLS with an L1 penalty on the full set of features performs less well than GLS after marginal selection using a P value < 0.05 threshold from the two-sided Wald test. b, Error model: ordinary least squares (OLS) performs less well than generalized least squares (GLS) using marginal selection from a. c, Joint model regularization: GLS after marginal feature selection with an L2 penalty performs better than similar models with an L1 penalty or no penalty. d, Number of features selected (marginal P value < 0.05 from the two-sided Wald test) and included in the joint predictive model for PoPS for each trait. A legend for trait domain colors is provided in Fig. 2.