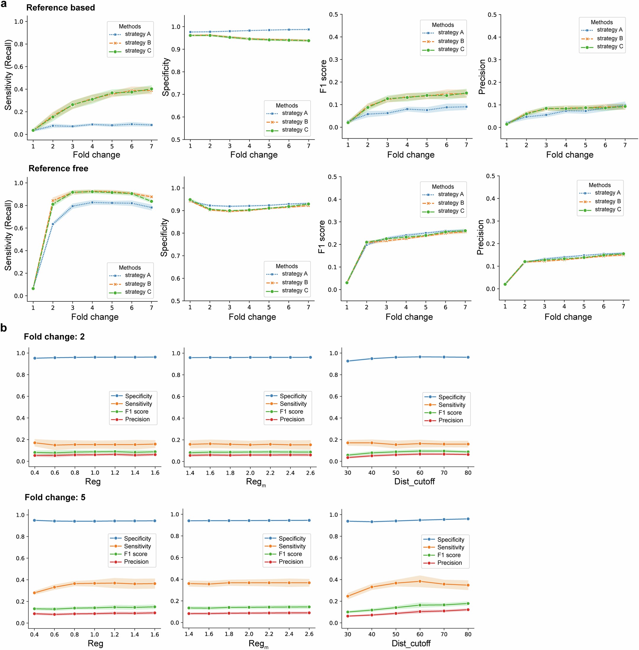
Extended Data Fig. 5: Performance evaluation of SCOTIA using simulated datasets from SRTsim.

a, The ability of different permutation strategies to identify LR interactions using reference-based (top) and reference-free (bottom) simulated datasets. Strategy A: shuffle gene expression within each cell type; strategy B: shuffle gene expression across all cell types; strategy C: shuffle gene expression across all cell types and permute cell locations. For reference-based simulations, the PDAC SMI dataset was used as the reference. Each scenario contains 3,000 cells across 8 cell types. Gene expression profiles were simulated using negative binomial models with parameters estimated based on the specific cell type in the reference data. To simulate cell type A interacting with cell type B via ligand (L) on A and receptor (R) on B, we randomly assigned the 422 known L-R pairs to specific cell type pairs (A-B), then we increased the expression of the L gene in cell type A and the R gene in adjacent cell type B to a fixed fold change (ranging from 1 to 7). Adjacent cells were defined as the nearest four cells. For reference-free simulations, we used SRTsim to randomly generate cell locations and gene expression profiles with default settings. Each simulation scenario was replicated 5 times. Performance was measured by sensitivity, specificity, F1 score, and precision. Reg is the entropy regularization term, the default is 1.0; regm is the marginal relaxation term, the default is 2.0; Dist_cutff is the distance cutoff for defining ‘adjacent’ cell clusters, the default is 50 µm. b, Performance evaluation of SCOTIA with varied parameters using reference-based simulation datasets from panel a. Fold change of true ligand receptor pairs was set to 2 (top) and 5 (bottom). Error bars in panel a and b indicating standard deviations.