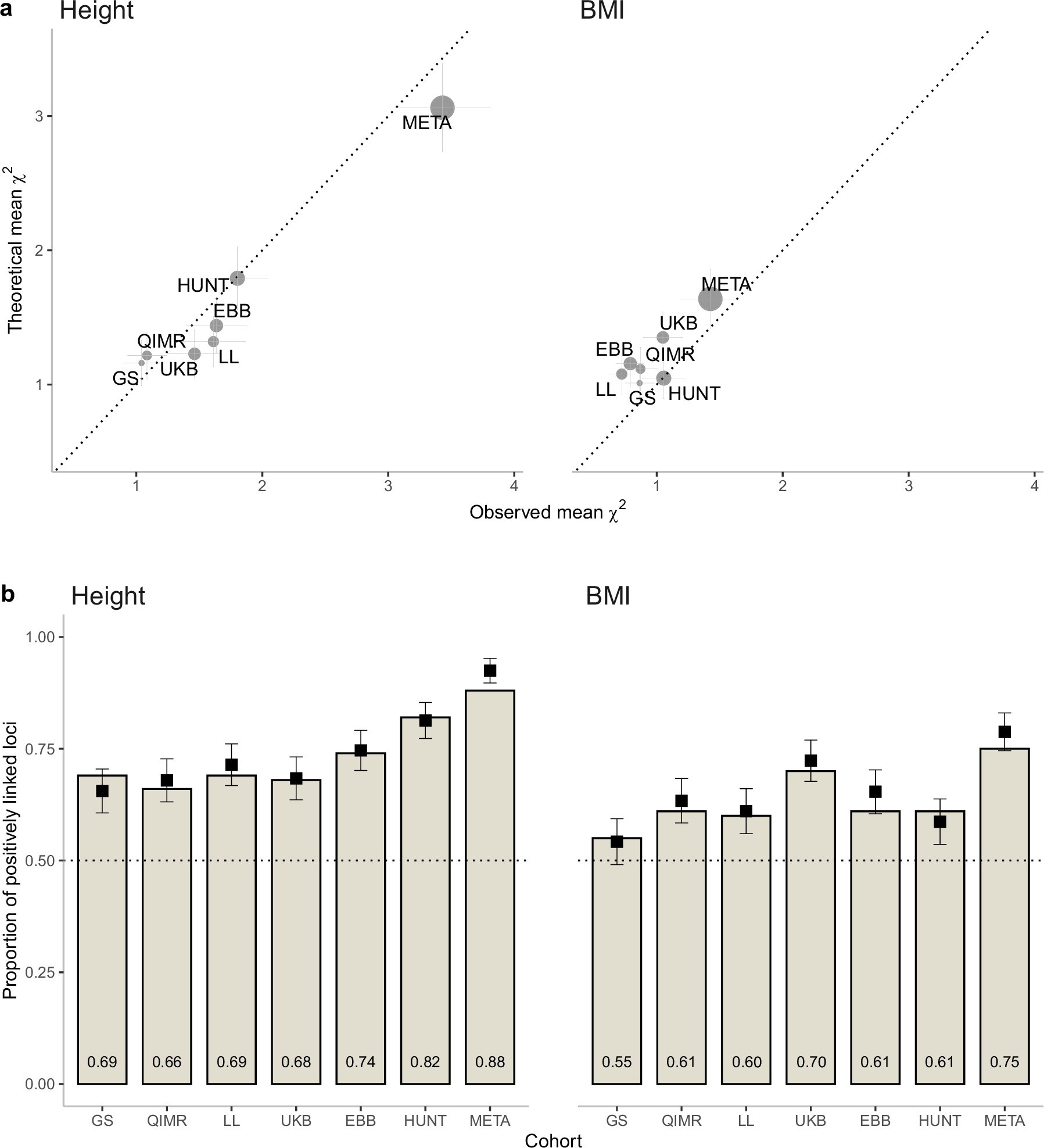
Extended Data Fig. 1: Observed and theoretically predicted statistics for locus-specific linkage analysis.
From: Genetic architecture reconciles linkage and association studies of complex traits

a,The observed and predicted mean test statistics of linkage (χ2) test statistics for height and BMI. The error-bars indicate standard errors (s.e.) calculated as the standard deviation of locus-specific statistics divided by the square root of the effective number independent markers, that is ~94 (Supplementary Table 8). The size of the circle is proportional to sample size. The theoretically predicted values are based on the REML estimates of heritability from genome wide IBD regression (\(\widehat{{h}_{FS}^{2}}\)) and the observed correlation between siblings. b, The proportion of loci with positive (i) estimated linkage (the bars and the values) and (ii) theoretically predicted (the black rectangles +/- s.e., Methods). The dotted horizontal line represents the proportion (that is, 0.5) expected in the absence of a genetic contribution to the trait. The data is shown for Generation Scotland (GS, number of quasi-independent sib-pairs (n) = 8,368), the Queensland Institute of Medical Research cohort (QIMR, n = 12,844), the Lifelines Cohort (LL, n = 16,581), the UK Biobank (UKB, n = 21,756), the Estonian Biobank (EBB, n = 25,333) the HUNT study (HUNT, n = 34,575) and the meta-analysis combining all cohorts (META, n = 119,457). The numerical values for mean and median χ2 and proportion of χ2 > 0 are presented in Supplementary Table 7a.