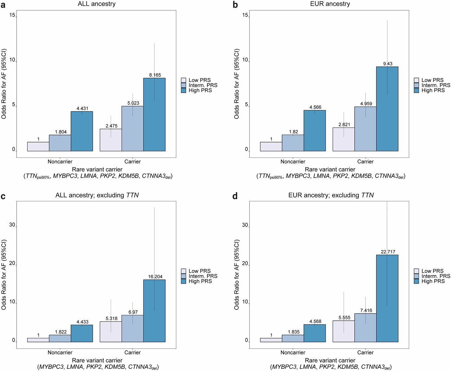
Extended Data Fig. 6: Combined assessment of risk conferred by rare variants and a common variant polygenic score among WGS samples.

a-d, In each panel, the y-axis of the bar charts shows the odds ratios as center measure (with error bars showing 95% confidence interval) for a given group as compared to individuals without rare variants within the lowest quintile of the polygenic risk score (PRS); the x-axis shows different groups (stratified by rare variants and PRS strata). a and c show results from all ancestry individuals, while b and d show results for individuals of European (EUR) ancestry only. PRS strata are split by low PRS (bottom quintile of distribution), intermediate PRS (2nd to 4th quintile of distribution) and high PRS (top quintile of PRS distribution). Odds ratios are computed from Firth’s logistic regression.