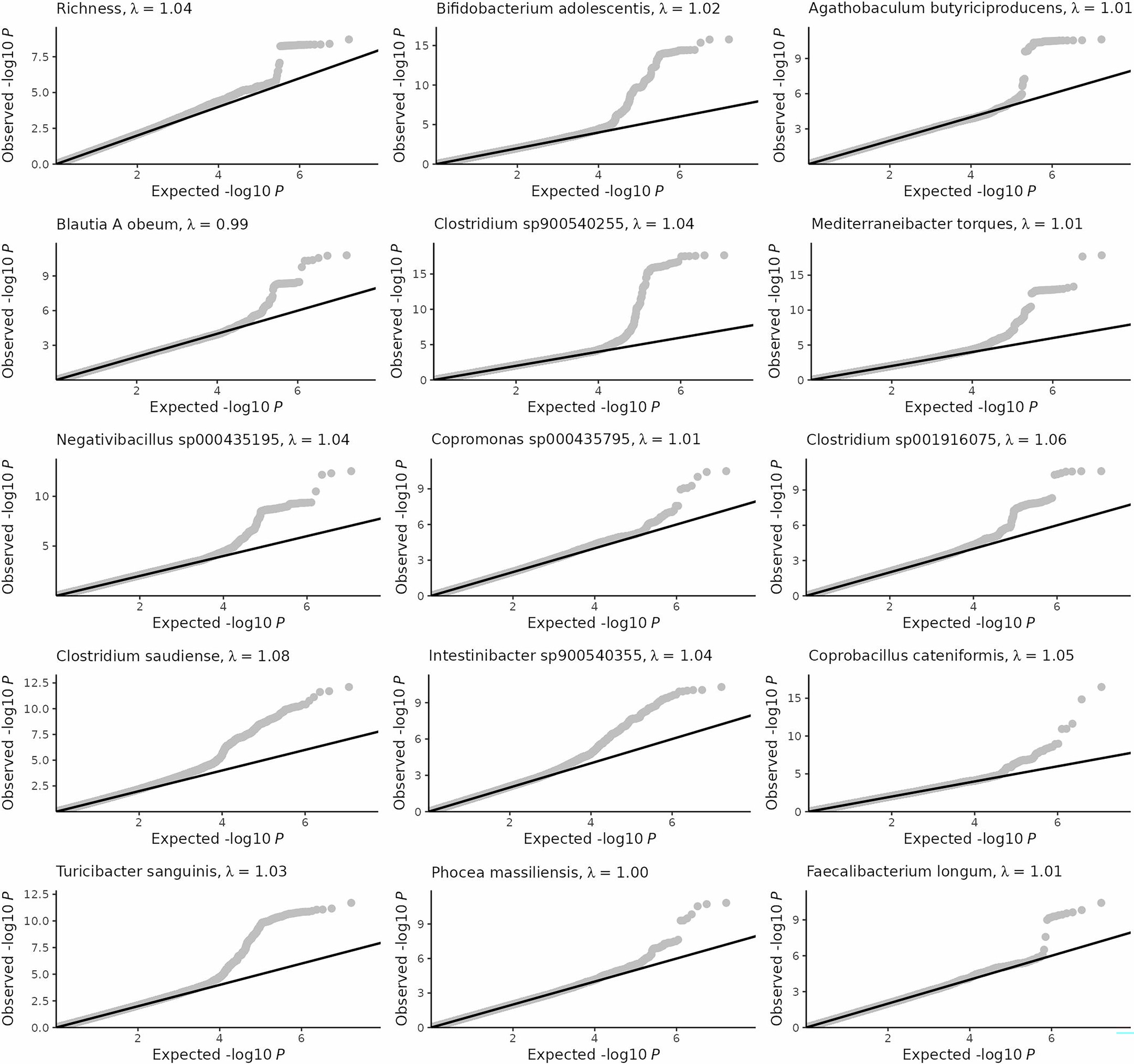
Extended Data Fig. 5: Quantile-quantile plots.

Quantile-quantile plots and genomic inflation factors for the GWAS of microbiome features (richness and species) with study-wide significant findings. Observed P values were from linear or logistic models (two-sided tests).