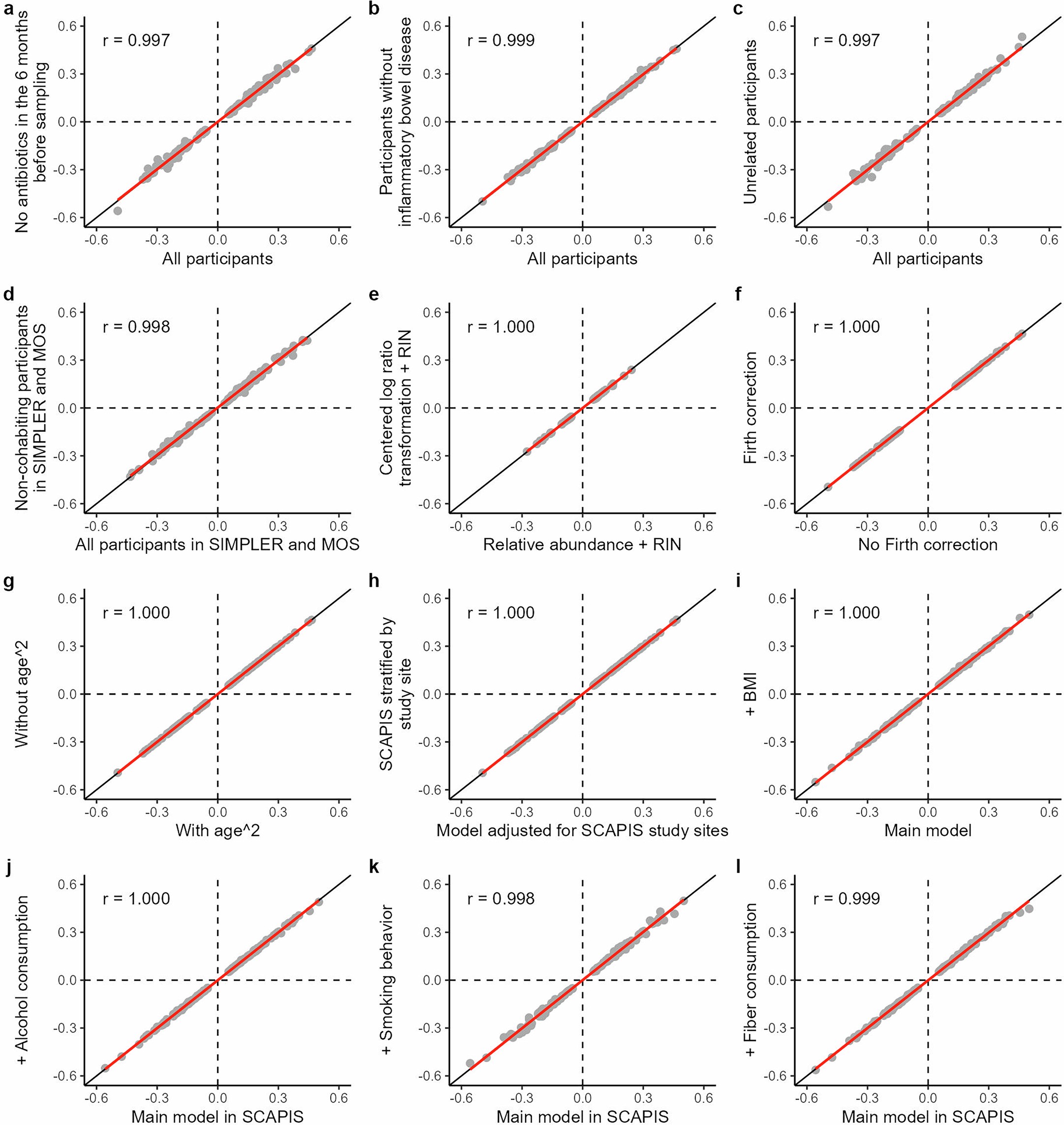
Extended Data Fig. 6: Robustness of genetic microbiome associations across subgroups and model specifications.

a-c, Sensitivity analysis of 149 genome-wide associations restricted to (a) individuals without antibiotic use in the past 6 months (n = 14,171), (b) individuals without inflammatory bowel disease (n = 15,260), or (c) unrelated participants (n = 14,229) compared to using data from all participants (n = 16,017). Related participants were identified based on kinship coefficients, and individuals were excluded until there were no pairs remaining with 3rd degree relatedness or closer. d, Sensitivity analysis of 149 genome-wide associations restricted to one participant from each household in SIMPLER and MOS (n = 6,983) compared to using data from all participants in those cohorts (n = 7,284). e-i, In the full dataset (n = 16,017), sensitivity analyses were also performed for (e) the 56 genome-wide linear regression associations with centered log-ratio (CLR) transformation before the rank-based inverse normal transformation compared to rank-based inverse normal transformation only, (f) the 93 genome-wide logistic regression associations using Firth correction compared to not using Firth correction, and (g) the 149 genome-wide associations without age2 as a covariate compared to including it, (h) analyzing SCAPIS-Malmö and SCAPIS-Uppsala separately compared to models pooling them with site adjustment (original analysis), and (i) including vs. not including body mass index (BMI) as an additional covariate. j-l, Finally, sensitivity analyses were performed for the 149 genome-wide associations comparing the original model in SCAPIS (n = 8,733) with models including (j) alcohol intake (n = 8,707), (k) smoking behavior (n = 8,452), or (l) fiber consumption (n = 8,624) as an additional covariate. Smoking behavior (3% missing) was categorized into current smokers (12%), former smokers (35%), and never smokers (49%). Mean ± s.d. for fiber consumption and median (25th-75th percentile) for alcohol consumption in SCAPIS were 12.0 ± 4.2 g/day and 5.9 (2.0-10.6) g/day, respectively. The diagonal black line indicates where values of y = x, the red line a slope from linear regressions of beta coefficients from the sensitivity analysis and the original analysis, and in the upper left corner the Pearson correlation coefficient r is shown.