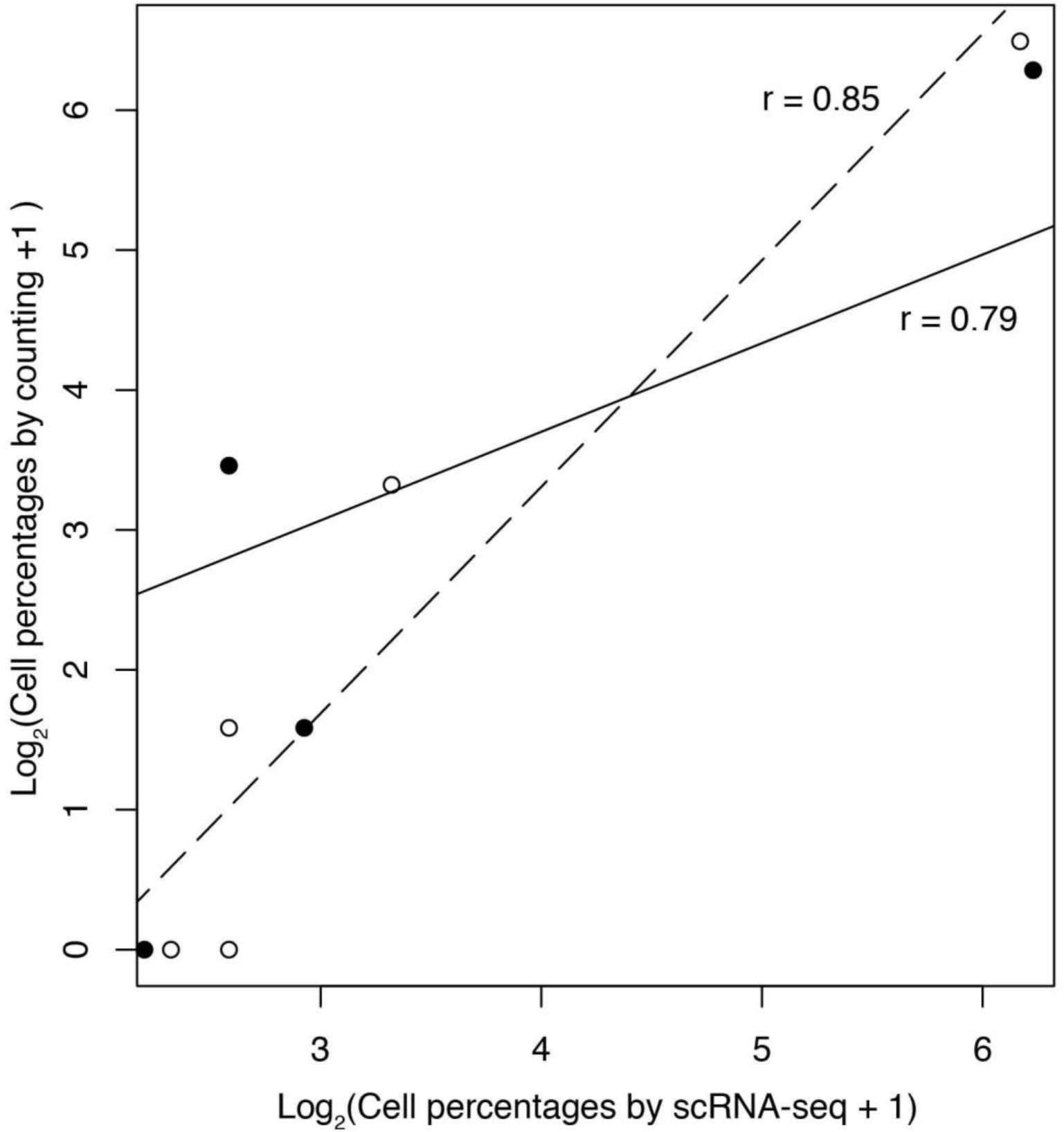
Supplementary Figure 2: Correlation between cell percentages as determined by histological identification or scRNA-seq.

The cell-type percentages of the major cell types identified (tubular cells, endothelial cells, leukocytes, fibroblasts, mesangial cells, n = 5 cell types) were determined by histological morphology (Y-axis) or scRNA-seq (X-axis) for biopsies (n = 2) and were correlated using Pearson’s correlation. Points represent log2 transformed percentages of cell types with open circles and filled circles representing the two distinct biopsies.