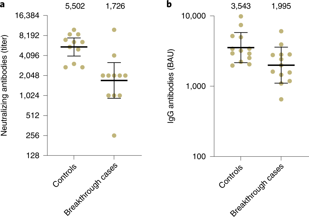
Fig. 4: Neutralizing antibody and IgG titers among breakthrough cases and matched uninfected HCW controls.
From: Superior immunogenicity and effectiveness of the third compared to the second BNT162b2 vaccine dose

a,b, Neutralizing (a) and IgG (b) levels obtained from HCWs up to 7 days before infection (n = 11 and 13 biologically independent samples for neutralizing and IgG levels, respectively) (breakthrough cases) or from their matched averaged HCWs who were not infected (controls) (n = 42 and 52 biologically independent samples for neutralizing and IgG levels, respectively) were determined. The black bar indicate GMT ± 95% CI. GMT for each point is indicated.